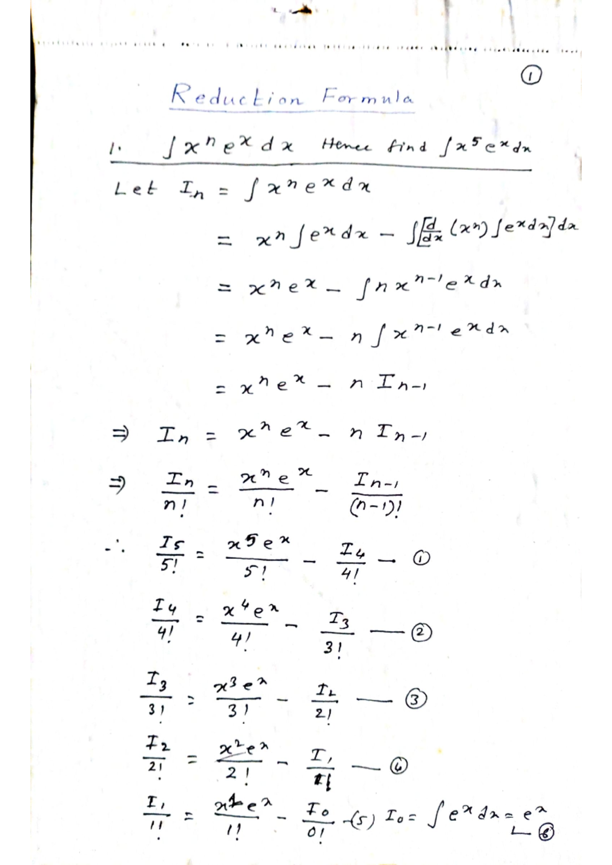
Reduction Formulas for Integrals: Math 1 - Power Series - Studocu
Learning

Reduction Formulas for Integrals: Math 1 - Power Series - Studocu

1200 × 1696px May 3, 2025 Ashley
Download

Electrical Engineering Math is a fundamental aspect of electrical engineering, providing the theoretical foundation for understanding and designing electrical systems. It encompasses a wide range of mathematical concepts and tools that are essential for analyzing and solving problems in various areas of electrical engineering, including circuit analysis, signal processing, control systems, and electromagnetics.

Importance of Electrical Engineering Math

Electrical Engineering Math is crucial for several reasons:

  • Problem-Solving: It equips engineers with the skills to solve complex problems efficiently. Whether it’s designing a new circuit, optimizing a power system, or analyzing signal integrity, a solid grasp of mathematics is indispensable.
  • Design and Analysis: Mathematical models and simulations are used to design and analyze electrical systems. This ensures that the systems meet performance requirements and operate safely.
  • Innovation: Advanced mathematical techniques enable engineers to innovate and develop new technologies. For example, the use of differential equations in control systems allows for the creation of sophisticated feedback mechanisms.
  • Communication: Mathematics provides a universal language for engineers to communicate complex ideas and solutions. This is particularly important in collaborative projects and interdisciplinary research.

Key Areas of Electrical Engineering Math

Electrical Engineering Math covers a broad spectrum of mathematical disciplines. Some of the key areas include:

Linear Algebra

Linear algebra is essential for understanding vector spaces, matrices, and linear transformations. It is widely used in circuit analysis, signal processing, and control systems. Key concepts include:

  • Vectors and matrices
  • Eigenvalues and eigenvectors
  • Linear transformations
  • Matrix operations

Calculus

Calculus, both differential and integral, is fundamental for analyzing rates of change and accumulation of quantities. It is used in various applications such as:

  • Circuit analysis
  • Signal processing
  • Control systems
  • Electromagnetics

Key concepts include:

  • Derivatives and integrals
  • Differential equations
  • Partial derivatives
  • Vector calculus

Differential Equations

Differential equations are used to model dynamic systems and predict their behavior over time. They are crucial in:

  • Control systems
  • Signal processing
  • Electromagnetics

Key concepts include:

  • Ordinary differential equations (ODEs)
  • Partial differential equations (PDEs)
  • Laplace transforms
  • Fourier transforms

Probability and Statistics

Probability and statistics are essential for analyzing and interpreting data in electrical engineering. They are used in:

  • Signal processing
  • Communication systems
  • Reliability engineering

Key concepts include:

  • Probability distributions
  • Statistical inference
  • Hypothesis testing
  • Regression analysis

Complex Variables

Complex variables are used to solve problems involving complex numbers and functions. They are particularly important in:

  • Signal processing
  • Control systems
  • Electromagnetics

Key concepts include:

  • Complex numbers
  • Analytic functions
  • Contour integration
  • Residue theorem

Applications of Electrical Engineering Math

Electrical Engineering Math has numerous applications in various fields. Some of the most significant applications include:

Circuit Analysis

Circuit analysis involves the study of electrical circuits using mathematical models. Key techniques include:

  • Kirchhoff’s laws
  • Nodal analysis
  • Mesh analysis
  • Thevenin’s and Norton’s theorems

Signal Processing

Signal processing deals with the analysis and manipulation of signals. Mathematical tools used include:

  • Fourier transforms
  • Laplace transforms
  • Z-transforms
  • Filter design

Control Systems

Control systems are used to regulate the behavior of dynamic systems. Key mathematical concepts include:

  • Transfer functions
  • State-space representations
  • PID controllers
  • Root locus and Bode plots

Electromagnetics

Electromagnetics involves the study of electric and magnetic fields. Mathematical tools used include:

  • Maxwell’s equations
  • Wave equations
  • Potential theory
  • Boundary value problems

Challenges in Electrical Engineering Math

While Electrical Engineering Math is powerful, it also presents several challenges:

  • Complexity: Many problems in electrical engineering are highly complex and require advanced mathematical techniques to solve.
  • Computational Intensity: Some mathematical models and simulations are computationally intensive, requiring significant processing power and time.
  • Interdisciplinary Nature: Electrical engineering often involves interdisciplinary problems that require knowledge of multiple mathematical disciplines.

Tools and Software for Electrical Engineering Math

Several tools and software packages are available to assist with Electrical Engineering Math. Some of the most commonly used tools include:

MATLAB

MATLAB is a high-level language and interactive environment for numerical computation, visualization, and programming. It is widely used for:

  • Simulating dynamic systems
  • Analyzing signals
  • Designing control systems
  • Performing data analysis

Python

Python is a versatile programming language with extensive libraries for scientific computing. Key libraries include:

  • NumPy
  • SciPy
  • Matplotlib
  • SymPy

Mathematica

Mathematica is a symbolic and numerical computing environment used for:

  • Algebraic manipulation
  • Calculus
  • Differential equations
  • Visualization

Simulink is a graphical programming environment for modeling, simulating, and analyzing multidomain dynamic systems. It is often used in conjunction with MATLAB for:

  • Control system design
  • Signal processing
  • Power system analysis

Learning Resources for Electrical Engineering Math

There are numerous resources available for learning Electrical Engineering Math. Some of the best resources include:

Textbooks

Several textbooks provide comprehensive coverage of Electrical Engineering Math. Some recommended textbooks include:

  • Engineering Mathematics by K.A. Stroud
  • Advanced Engineering Mathematics by Erwin Kreyszig
  • Signals and Systems by Alan V. Oppenheim and Ronald W. Schafer
  • Control System Design by Bernard Friedland

Online Courses

Online courses offer flexible learning options for Electrical Engineering Math. Some popular platforms include:

  • Coursera
  • edX
  • Khan Academy
  • MIT OpenCourseWare

Tutorials and Videos

Tutorials and videos provide step-by-step guidance on various topics in Electrical Engineering Math. Some useful resources include:

  • YouTube channels like 3Blue1Brown and Khan Academy
  • Online tutorials on platforms like Mathway and Wolfram Alpha

Electrical Engineering Math is continually evolving with advancements in technology and research. Some future trends include:

Machine Learning and AI

Machine learning and artificial intelligence are increasingly being used to solve complex problems in electrical engineering. These technologies can:

  • Optimize system performance
  • Predict system behavior
  • Automate design processes

Big Data and Analytics

Big data and analytics are transforming the way electrical systems are designed and operated. These technologies enable:

  • Real-time monitoring and control
  • Predictive maintenance
  • Data-driven decision-making

Quantum Computing

Quantum computing has the potential to revolutionize Electrical Engineering Math by solving problems that are currently infeasible with classical computers. Applications include:

  • Optimization problems
  • Cryptography
  • Simulation of quantum systems

📝 Note: The integration of these advanced technologies requires a strong foundation in Electrical Engineering Math to effectively apply and interpret the results.

Examples of Electrical Engineering Math in Action

To illustrate the practical application of Electrical Engineering Math, consider the following examples:

Circuit Analysis Example

Consider a simple RC circuit with a resistor ® and a capacitor © in series. The differential equation governing the voltage across the capacitor is:

RC dV/dt + V = Vin

Where Vin is the input voltage. To solve this equation, we can use the Laplace transform:

V(s) = Vin(s) / (1 + sRC)

By taking the inverse Laplace transform, we obtain the time-domain solution for the voltage across the capacitor.

Signal Processing Example

In signal processing, the Fourier transform is used to analyze the frequency components of a signal. For a continuous-time signal x(t), the Fourier transform is defined as:

X(f) = ∫[-∞, ∞] x(t) e-j2πft dt

Where X(f) is the frequency-domain representation of the signal. This transformation allows for the analysis and manipulation of signals in the frequency domain, which is often more straightforward than in the time domain.

Control Systems Example

In control systems, the transfer function is used to model the relationship between the input and output of a system. For a second-order system, the transfer function is given by:

H(s) = ωn2 / (s2 + 2ζωns + ωn2)

Where ωn is the natural frequency and ζ is the damping ratio. The poles of the transfer function determine the system’s stability and response characteristics.

Conclusion

Electrical Engineering Math is a cornerstone of electrical engineering, providing the theoretical and practical tools necessary for designing, analyzing, and optimizing electrical systems. From circuit analysis to signal processing, control systems, and electromagnetics, a strong foundation in Electrical Engineering Math is essential for solving complex problems and driving innovation. As technology continues to advance, the importance of Electrical Engineering Math will only grow, making it a critical area of study for aspiring and practicing engineers alike.

Related Terms:

  • electrical engineering math courses
  • electrical engineering math reddit
  • electrical engineering math requirements
  • is electrical engineering math heavy
  • electrical engineering math equations
  • does electrical engineering need math
More Images
1001 electrical Engineering Solved Problems.pdf
1001 electrical Engineering Solved Problems.pdf
2048×2650
Requirements For Electrical Engineering Math
Requirements For Electrical Engineering Math
1632×1224
Why Electrical Engineering Relies Heavily on Math
Why Electrical Engineering Relies Heavily on Math
1024×1024
Electrical Engineering Background PNG, Vector, PSD, and Clipart With ...
Electrical Engineering Background PNG, Vector, PSD, and Clipart With ...
2500×2500
SOLUTION: Basic electrical engineering solved example - Studypool
SOLUTION: Basic electrical engineering solved example - Studypool
1240×1754
Module 4 previous question s - basics of electical and electronics ...
Module 4 previous question s - basics of electical and electronics ...
1200×1698
SOLUTION: Electrical engineering practice problems w solution - Studypool
SOLUTION: Electrical engineering practice problems w solution - Studypool
1620×2477
8 Solved Problems on Basic Electrical Engineering - Examination 1 | E C ...
8 Solved Problems on Basic Electrical Engineering - Examination 1 | E C ...
1280×1656
Download Mathematics for Electrical Engineering and Computing pdf.
Download Mathematics for Electrical Engineering and Computing pdf.
1080×1350
Physics Electronic Engineering Mathematics Equation Calculations Stock ...
Physics Electronic Engineering Mathematics Equation Calculations Stock ...
1500×1101
What kind of math is used in electrical engineering?
What kind of math is used in electrical engineering?
1250×1250
Physics Electronic Engineering Mathematics Equation Scheme Stock Vector ...
Physics Electronic Engineering Mathematics Equation Scheme Stock Vector ...
1500×1101
1001 electrical Engineering Solved Problems.pdf
1001 electrical Engineering Solved Problems.pdf
2048×2650
SOLUTION: Electrical engineering mathematics - Studypool
SOLUTION: Electrical engineering mathematics - Studypool
1620×2121
Engineering Math at Alan Matheny blog
Engineering Math at Alan Matheny blog
1937×2560
Why Electrical Engineering Relies Heavily on Math
Why Electrical Engineering Relies Heavily on Math
1024×1024
Electrical Engineering MATH 1131 Assignment - MATH 1131 ASSIGNMENT ...
Electrical Engineering MATH 1131 Assignment - MATH 1131 ASSIGNMENT ...
1200×1696
2025 Re-Assessment for Engineering Mathematics 1 (CMA11A, MEM11A ...
2025 Re-Assessment for Engineering Mathematics 1 (CMA11A, MEM11A ...
1200×1696
Vektor Stok Physics Electronic Engineering Mathematics Equation ...
Vektor Stok Physics Electronic Engineering Mathematics Equation ...
1500×1600
BENG Programs Overview: Core Courses in Mechanical & Electrical ...
BENG Programs Overview: Core Courses in Mechanical & Electrical ...
1200×1696
Why Electrical Engineering Relies Heavily on Math
Why Electrical Engineering Relies Heavily on Math
1024×1024
Numerical Methods and Analysis IM4 - BS Electrical Engineering - Studocu
Numerical Methods and Analysis IM4 - BS Electrical Engineering - Studocu
1200×1698
What kind of math is used in electrical engineering?
What kind of math is used in electrical engineering?
1250×1250
math - Simple problem with phasors - Electrical Engineering Stack Exchange
math - Simple problem with phasors - Electrical Engineering Stack Exchange
1632×1224
Amazon.com: Engineering Mathematics 4th edn: A Foundation for ...
Amazon.com: Engineering Mathematics 4th edn: A Foundation for ...
1657×2307
Engineering Math at Alan Matheny blog
Engineering Math at Alan Matheny blog
1840×2560
Physics Electronic Engineering Mathematics Equation Calculations Stock ...
Physics Electronic Engineering Mathematics Equation Calculations Stock ...
1500×1101
Why Electrical Engineering Relies Heavily on Math
Why Electrical Engineering Relies Heavily on Math
1024×1024
Engineering Mathematics: A Foundation for Electronic, Electrical ...
Engineering Mathematics: A Foundation for Electronic, Electrical ...
1125×1500
Engineering Math at Alan Matheny blog
Engineering Math at Alan Matheny blog
1840×2560
Reduction Formulas for Integrals: Math 1 - Power Series - Studocu
Reduction Formulas for Integrals: Math 1 - Power Series - Studocu
1200×1696
PPT - Electrical Engineering vs Mechanical Engineering Which Should you ...
PPT - Electrical Engineering vs Mechanical Engineering Which Should you ...
1024×1325
Física, ingeniería electrónica, ecuación y cálculos: vector de stock ...
Física, ingeniería electrónica, ecuación y cálculos: vector de stock ...
1500×1101
SOLUTION: Engineering mathematics model question paper 2 with detailed ...
SOLUTION: Engineering mathematics model question paper 2 with detailed ...
1620×2291
8 Solved Problems on Basic Electrical Engineering - Examination 1 | E C ...
8 Solved Problems on Basic Electrical Engineering - Examination 1 | E C ...
1280×1656
Answered: IN The Circuit Shown, Solve for the voltage across the the 32 ...
Answered: IN The Circuit Shown, Solve for the voltage across the the 32 ...
1200×1802
1001 electrical Engineering Solved Problems.pdf
1001 electrical Engineering Solved Problems.pdf
2048×2650