Learning

X 3 Y 3

X 3 Y 3
X 3 Y 3

In the realm of mathematics and computer science, the concept of X 3 Y 3 holds significant importance. This term refers to a specific type of polynomial equation where the variables X and Y are raised to the power of three. Understanding X 3 Y 3 is crucial for various applications, including cryptography, data analysis, and algorithm design. This blog post will delve into the intricacies of X 3 Y 3, exploring its mathematical foundations, practical applications, and computational methods.

Mathematical Foundations of X 3 Y 3

The equation X 3 Y 3 is a cubic polynomial equation involving two variables, X and Y. The general form of this equation can be written as:

X^3 + Y^3 = k

where k is a constant. This equation is a special case of a more general cubic equation and has unique properties that make it interesting for both theoretical and applied mathematics.

One of the key properties of X 3 Y 3 is its symmetry. The equation is symmetric with respect to X and Y, meaning that swapping X and Y does not change the equation. This symmetry has important implications for solving the equation and understanding its solutions.

Solving X 3 Y 3 Equations

Solving X 3 Y 3 equations can be challenging due to their cubic nature. However, there are several methods that can be employed to find solutions. One common approach is to use algebraic techniques to factor the equation. For example, if k is a perfect cube, the equation can be factored as:

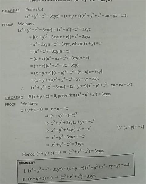
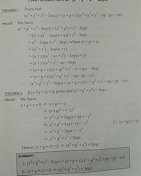
(X + Y)(X^2 - XY + Y^2) = k

This factorization can simplify the process of finding solutions, especially when k is a small integer. Another approach is to use numerical methods, such as the Newton-Raphson method, to approximate the solutions. These methods are particularly useful when exact solutions are difficult to find.

Applications of X 3 Y 3

The X 3 Y 3 equation has a wide range of applications in various fields. In cryptography, for example, cubic equations are used to design secure encryption algorithms. The complexity of solving cubic equations makes them suitable for creating cryptographic systems that are resistant to brute-force attacks.

In data analysis, X 3 Y 3 equations are used to model nonlinear relationships between variables. For instance, in regression analysis, cubic polynomials can be used to fit data points that do not follow a linear trend. This allows for more accurate predictions and better understanding of the underlying data.

In algorithm design, X 3 Y 3 equations are used to optimize computational processes. For example, in optimization algorithms, cubic equations can be used to model the objective function, allowing for more efficient search strategies.

Computational Methods for X 3 Y 3

Computing solutions to X 3 Y 3 equations often requires the use of advanced computational methods. One such method is the use of symbolic computation software, which can handle algebraic manipulations and solve equations symbolically. Software like Mathematica and Maple are commonly used for this purpose.

Another approach is to use numerical computation methods. These methods involve approximating the solutions using iterative algorithms. For example, the Newton-Raphson method can be used to find the roots of a cubic equation by iteratively refining an initial guess. This method is particularly useful when exact solutions are not required.

Here is an example of how to use the Newton-Raphson method to solve a cubic equation in Python:

import numpy as np

def newton_raphson(f, df, x0, tol=1e-7, max_iter=100):
    x = x0
    for i in range(max_iter):
        fx = f(x)
        dfx = df(x)
        if dfx == 0:
            raise ValueError("Derivative is zero. No solution found.")
        x_new = x - fx / dfx
        if abs(x_new - x) < tol:
            return x_new
        x = x_new
    raise ValueError("Maximum iterations reached. No solution found.")

# Define the cubic equation X^3 + Y^3 = k
def f(x):
    return x3 - 1  # Example with k = 1

# Define the derivative of the cubic equation
def df(x):
    return 3 * x2

# Initial guess
x0 = 1.0

# Solve the equation
solution = newton_raphson(f, df, x0)
print("Solution:", solution)

💡 Note: The above code is a simplified example and may need adjustments for different values of k and initial guesses.

Special Cases and Extensions

There are several special cases and extensions of the X 3 Y 3 equation that are worth exploring. One such case is when k is zero, which simplifies the equation to:

X^3 + Y^3 = 0

This equation has solutions where X and Y are both zero or where one variable is the negative cube root of the other. Another interesting case is when k is a negative number, which can lead to complex solutions.

Extensions of the X 3 Y 3 equation include higher-degree polynomials and equations involving more than two variables. For example, the equation X^3 + Y^3 + Z^3 = k involves three variables and has even more complex solutions.

Visualizing X 3 Y 3 Solutions

Visualizing the solutions of X 3 Y 3 equations can provide valuable insights into their properties. One common method is to plot the equation in a 3D coordinate system, where X and Y are the axes and the constant k is represented by the z-axis. This allows for a visual representation of the solutions and their distribution.

Here is an example of how to visualize the solutions of a X 3 Y 3 equation using Python and Matplotlib:

import numpy as np
import matplotlib.pyplot as plt
from mpl_toolkits.mplot3d import Axes3D

# Define the range of X and Y values
x = np.linspace(-2, 2, 400)
y = np.linspace(-2, 2, 400)
X, Y = np.meshgrid(x, y)

# Define the constant k
k = 1

# Calculate Z values
Z = X3 + Y3 - k

# Create a 3D plot
fig = plt.figure()
ax = fig.add_subplot(111, projection='3d')
ax.plot_surface(X, Y, Z, cmap='viridis')

# Set labels
ax.set_xlabel('X')
ax.set_ylabel('Y')
ax.set_zlabel('Z')

# Show the plot
plt.show()

💡 Note: The above code generates a 3D plot of the X 3 Y 3 equation with k = 1. Adjust the range of X and Y values and the constant k as needed.

Another method for visualizing X 3 Y 3 solutions is to use contour plots. Contour plots can show the level sets of the equation, providing a clear view of the solutions for different values of k. This method is particularly useful for understanding the behavior of the equation in different regions of the X-Y plane.

Challenges and Future Directions

Despite its importance, solving X 3 Y 3 equations presents several challenges. One of the main challenges is the complexity of the equations, which can make exact solutions difficult to find. Additionally, the presence of multiple variables and the potential for complex solutions can complicate the analysis.

Future research in this area could focus on developing more efficient algorithms for solving X 3 Y 3 equations. This could involve exploring new numerical methods, improving symbolic computation techniques, or leveraging machine learning algorithms to find solutions more quickly.

Another area of interest is the application of X 3 Y 3 equations in emerging fields such as quantum computing and artificial intelligence. As these fields continue to evolve, the need for efficient and accurate solutions to cubic equations will become increasingly important.

In conclusion, the X 3 Y 3 equation is a fundamental concept in mathematics and computer science with wide-ranging applications. Understanding its properties, solving methods, and computational techniques is essential for advancing various fields. By exploring the mathematical foundations, practical applications, and future directions of X 3 Y 3, we can gain a deeper appreciation for its significance and potential.

Related Terms:

  • x 3 y 3 simplify
  • x 3 y 3 expansion
  • x 3 y 3 factor
  • x 3 y 3 factorization
  • x 3 y 3 graph
  • x 3 y 3 factored
Facebook Twitter WhatsApp
Related Posts
Don't Miss