Learning

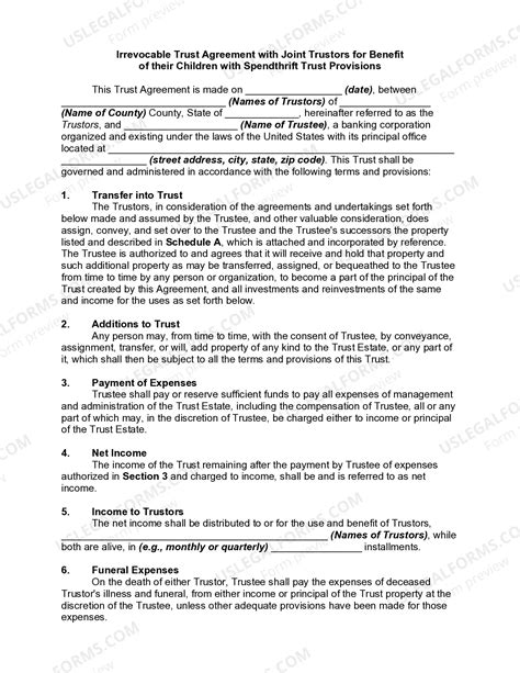
What Is Irrevocable Trust

What Is Irrevocable Trust
What Is Irrevocable Trust

Understanding the intricacies of estate planning often leads individuals to explore various trust options. One such option that stands out due to its unique characteristics is the irrevocable trust. But what is an irrevocable trust, and why might it be a beneficial tool in your estate planning strategy? This post delves into the details of irrevocable trusts, their advantages, disadvantages, and how they compare to other types of trusts.

What Is an Irrevocable Trust?

An irrevocable trust is a legal entity created to hold and manage assets for the benefit of designated beneficiaries. Unlike a revocable trust, which can be altered or terminated by the grantor (the person who creates the trust) at any time, an irrevocable trust cannot be modified or revoked once it is established. This permanence is a key feature that sets irrevocable trusts apart and offers specific benefits and drawbacks.

Key Features of an Irrevocable Trust

To fully grasp what an irrevocable trust entails, it's essential to understand its core features:

  • Permanence: Once an irrevocable trust is created, the grantor cannot change its terms, revoke it, or reclaim the assets placed within it.
  • Asset Protection: Assets transferred into an irrevocable trust are generally protected from creditors and lawsuits, providing a layer of financial security.
  • Tax Benefits: Irrevocable trusts can offer significant tax advantages, including reducing estate taxes and potentially lowering income taxes.
  • Beneficiary Control: The trustee, who manages the trust, distributes assets to the beneficiaries according to the terms set by the grantor.

Advantages of an Irrevocable Trust

Irrevocable trusts offer several advantages that make them a popular choice for estate planning:

  • Asset Protection: Assets placed in an irrevocable trust are typically shielded from creditors, lawsuits, and other legal claims. This protection can be particularly valuable for individuals in high-risk professions or those with significant assets.
  • Tax Benefits: By transferring assets into an irrevocable trust, the grantor can reduce the size of their taxable estate, potentially lowering estate taxes. Additionally, income generated by the trust may be taxed at a lower rate than if it were taxed as part of the grantor's personal income.
  • Estate Planning Flexibility: Irrevocable trusts can be structured to provide for beneficiaries over an extended period, ensuring that assets are managed and distributed according to the grantor's wishes.
  • Medicaid Planning: For individuals concerned about qualifying for Medicaid, an irrevocable trust can be used to protect assets while still allowing the grantor to qualify for benefits. This is particularly useful for long-term care planning.

Disadvantages of an Irrevocable Trust

While irrevocable trusts offer numerous benefits, they also come with certain drawbacks that should be considered:

  • Loss of Control: Once assets are transferred into an irrevocable trust, the grantor loses control over them. This means the grantor cannot access the assets or change the terms of the trust.
  • Complexity: Establishing and managing an irrevocable trust can be complex and may require the assistance of legal and financial professionals.
  • Irrevocability: The permanent nature of an irrevocable trust means that any mistakes or changes in circumstances cannot be easily addressed. This can be a significant drawback if the grantor's situation changes.

Types of Irrevocable Trusts

Irrevocable trusts come in various forms, each designed to address specific estate planning needs. Some of the most common types include:

  • Life Insurance Trust: This type of trust is designed to hold life insurance policies, ensuring that the proceeds are not included in the grantor's taxable estate.
  • Charitable Remainder Trust: This trust allows the grantor to receive income from the trust during their lifetime, with the remaining assets going to a designated charity upon the grantor's death.
  • Special Needs Trust: This trust is created to provide for the financial needs of a beneficiary with special needs without affecting their eligibility for government benefits.
  • Qualified Personal Residence Trust: This trust is used to transfer a personal residence to beneficiaries while reducing estate taxes.

Comparing Irrevocable Trusts to Revocable Trusts

Understanding the differences between irrevocable and revocable trusts is crucial for making informed estate planning decisions. Here's a comparison of the two:

Feature Irrevocable Trust Revocable Trust
Modifiability Cannot be modified or revoked Can be modified or revoked at any time
Asset Protection Assets are protected from creditors Assets are not protected from creditors
Tax Benefits Potential for significant tax advantages Fewer tax benefits compared to irrevocable trusts
Control Grantor loses control over assets Grantor retains control over assets

πŸ“ Note: The choice between an irrevocable and revocable trust depends on individual circumstances and estate planning goals. Consulting with a financial advisor or estate planning attorney can help determine the best option.

Setting Up an Irrevocable Trust

Establishing an irrevocable trust involves several steps. Here's a general overview of the process:

  • Consult with Professionals: Work with an estate planning attorney and financial advisor to understand the implications and benefits of an irrevocable trust.
  • Choose a Trustee: Select a trustee who will manage the trust and distribute assets to beneficiaries. This can be an individual or a professional trustee.
  • Draft the Trust Document: The trust document outlines the terms of the trust, including how assets will be managed and distributed. This document must be carefully drafted to ensure it meets legal requirements and the grantor's wishes.
  • Fund the Trust: Transfer assets into the trust. This can include cash, real estate, investments, and other valuable assets.
  • File Necessary Documents: Depending on the type of trust and the jurisdiction, certain documents may need to be filed with the appropriate authorities.

Once the irrevocable trust is established, the grantor can rest assured that their assets are protected and will be managed according to their wishes. However, it's important to note that the process can be complex and may require ongoing management and legal oversight.

πŸ“ Note: The specific steps and requirements for setting up an irrevocable trust can vary by jurisdiction. It's essential to consult with a legal professional to ensure compliance with local laws and regulations.

Common Misconceptions About Irrevocable Trusts

There are several misconceptions about irrevocable trusts that can lead to misunderstandings and misinformed decisions. Here are some of the most common myths:

  • Irrevocable Trusts Are Only for the Wealthy: While irrevocable trusts can be beneficial for high-net-worth individuals, they can also be useful for those with more modest estates who want to protect assets and plan for the future.
  • Irrevocable Trusts Are Complicated and Expensive: While setting up an irrevocable trust can involve legal and financial complexities, the benefits often outweigh the costs. Working with experienced professionals can help streamline the process.
  • Irrevocable Trusts Are Permanent and Unchangeable: While it's true that irrevocable trusts cannot be modified or revoked by the grantor, there are legal mechanisms, such as decanting or judicial modification, that can be used to address changes in circumstances.

Understanding these misconceptions can help individuals make more informed decisions about whether an irrevocable trust is the right choice for their estate planning needs.

Conclusion

An irrevocable trust is a powerful tool in estate planning, offering asset protection, tax benefits, and flexibility in managing and distributing assets. While it comes with certain drawbacks, such as the loss of control over assets and the complexity of setup, the advantages often outweigh the disadvantages for many individuals. Understanding what an irrevocable trust is and how it can be used effectively is crucial for anyone looking to secure their financial future and provide for their beneficiaries. Whether you are planning for retirement, protecting assets from creditors, or ensuring that your loved ones are taken care of, an irrevocable trust can be a valuable component of a comprehensive estate plan.

Related Terms:

  • irrevocable trust explained
  • irrevocable trust examples
  • how a irrevocable trust works
  • explain an irrevocable trust
  • understanding irrevocable trusts
  • why use an irrevocable trust
Facebook Twitter WhatsApp
Related Posts
Don't Miss