Learning

What Is An Affiant

What Is An Affiant
What Is An Affiant

Understanding the legal system can be complex, especially when it comes to terms like affidavits and the role of an affiant. An affidavit is a sworn statement made under oath, and the person who makes this statement is known as the affiant. This blog post will delve into the intricacies of what an affiant is, their responsibilities, and the legal implications of their actions.

Understanding Affidavits

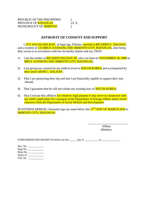
An affidavit is a formal written statement that is sworn to be true under oath. It is often used in legal proceedings to provide evidence or to support a claim. The affidavit is signed in the presence of a notary public or another authorized official, who verifies the identity of the affiant and ensures that the statement is made voluntarily and truthfully.

What Is An Affiant?

An affiant is the person who makes the affidavit. This individual is responsible for providing accurate and truthful information in the affidavit. The affiant’s role is crucial because the affidavit carries significant legal weight. Any false statements made in an affidavit can lead to serious legal consequences, including perjury charges.

Responsibilities of an Affiant

The responsibilities of an affiant are multifaceted and require a high degree of integrity and honesty. Here are some key responsibilities:

  • Truthfulness: The affiant must ensure that all information provided in the affidavit is accurate and truthful. Any false statements can result in legal penalties.
  • Comprehensiveness: The affidavit should cover all relevant details and provide a complete picture of the events or information being presented.
  • Clarity: The statements in the affidavit should be clear and unambiguous to avoid any misinterpretation.
  • Voluntariness: The affiant must sign the affidavit voluntarily, without any coercion or undue influence.

Being an affiant comes with significant legal implications. The affidavit is a legal document that can be used as evidence in court. Therefore, the affiant must be fully aware of the consequences of making false statements. Here are some key legal implications:

  • Perjury: Making false statements in an affidavit can lead to perjury charges. Perjury is a serious crime that can result in fines and imprisonment.
  • Credibility: The credibility of the affiant is crucial. If the affiant is found to have made false statements in the past, their future affidavits may be viewed with skepticism.
  • Legal Consequences: False statements in an affidavit can have far-reaching legal consequences, including the dismissal of a case or the reversal of a judgment.

The Process of Creating an Affidavit

The process of creating an affidavit involves several steps. Understanding these steps can help ensure that the affidavit is properly prepared and legally binding. Here is a step-by-step guide:

  • Drafting the Affidavit: The affiant or their legal representative drafts the affidavit, ensuring that it includes all relevant information and is clear and concise.
  • Reviewing the Affidavit: The affiant reviews the affidavit to ensure its accuracy and completeness. Any errors or omissions should be corrected at this stage.
  • Signing the Affidavit: The affiant signs the affidavit in the presence of a notary public or another authorized official. The official verifies the affiant’s identity and ensures that the affidavit is signed voluntarily.
  • Notarization: The notary public or authorized official notarizes the affidavit, affixing their seal and signature to the document. This step is crucial as it validates the affidavit and makes it legally binding.

📝 Note: It is essential to ensure that the affidavit is drafted and signed in accordance with the legal requirements of the jurisdiction in which it will be used.

Common Uses of Affidavits

Affidavits are used in a variety of legal contexts. Some common uses include:

  • Court Proceedings: Affidavits are often used as evidence in court proceedings to support claims or provide information.
  • Immigration Matters: Affidavits are used in immigration cases to provide supporting documentation for visa applications, citizenship, and other immigration-related matters.
  • Real Estate Transactions: Affidavits are used in real estate transactions to verify ownership, provide financial information, and support other legal requirements.
  • Business Transactions: Affidavits are used in business transactions to provide supporting documentation for contracts, agreements, and other legal documents.

Affidavits in Different Jurisdictions

The requirements and procedures for creating and using affidavits can vary significantly between different jurisdictions. It is important to understand the specific legal requirements of the jurisdiction in which the affidavit will be used. Here are some key points to consider:

  • United States: In the United States, affidavits are governed by federal and state laws. The requirements for notarization and the format of the affidavit can vary by state.
  • Canada: In Canada, affidavits are governed by provincial laws. The requirements for notarization and the format of the affidavit can vary by province.
  • United Kingdom: In the United Kingdom, affidavits are governed by the Civil Procedure Rules. The requirements for notarization and the format of the affidavit are standardized across the country.
  • Australia: In Australia, affidavits are governed by state and territory laws. The requirements for notarization and the format of the affidavit can vary by state or territory.

Affidavits vs. Declarations

While affidavits and declarations are both sworn statements, there are key differences between the two. Understanding these differences can help ensure that the correct document is used in a given situation. Here is a comparison:

Affidavit Declaration
Sworn under oath in the presence of a notary public or authorized official. Sworn under penalty of perjury but does not require notarization.
Used in formal legal proceedings and court cases. Used in less formal contexts, such as administrative proceedings or business transactions.
Requires the affiant to appear before a notary public or authorized official. Can be signed and sworn without the presence of a notary public or authorized official.

📝 Note: It is important to choose the correct document based on the specific legal requirements and the context in which it will be used.

Best Practices for Affiants

To ensure that an affidavit is legally binding and effective, affiants should follow best practices. Here are some key best practices:

  • Seek Legal Advice: Consult with a legal professional to ensure that the affidavit is drafted correctly and meets all legal requirements.
  • Be Truthful: Provide accurate and truthful information in the affidavit. Any false statements can lead to serious legal consequences.
  • Be Clear and Concise: Use clear and concise language to avoid any misinterpretation. Ensure that all relevant details are included.
  • Review Carefully: Review the affidavit carefully before signing to ensure its accuracy and completeness.
  • Follow Legal Requirements: Ensure that the affidavit is drafted and signed in accordance with the legal requirements of the jurisdiction in which it will be used.

Conclusion

Understanding what an affiant is and their role in the legal system is crucial for anyone involved in legal proceedings. An affiant is responsible for providing accurate and truthful information in an affidavit, which carries significant legal weight. The responsibilities of an affiant include truthfulness, comprehensiveness, clarity, and voluntariness. The legal implications of being an affiant are serious, and false statements can lead to perjury charges and other legal consequences. By following best practices and understanding the legal requirements, affiants can ensure that their affidavits are legally binding and effective. Whether used in court proceedings, immigration matters, real estate transactions, or business transactions, affidavits play a vital role in the legal system, and the role of the affiant is central to their validity and effectiveness.

Related Terms:

  • affiant definition and examples
  • affiant meaning in law
  • affiant definition
  • meaning of affiant terms notary
  • example of affiant
  • affiant's name meaning
Facebook Twitter WhatsApp
Related Posts
Don't Miss