Learning

Water Density In Kg/L

Water Density In Kg/L
Water Density In Kg/L

Understanding the concept of water density in kg/L is fundamental in various scientific and engineering disciplines. Water density refers to the mass of water per unit volume, typically measured in kilograms per liter (kg/L). This property is crucial in fields such as hydrology, oceanography, and environmental science, as it affects the behavior of water in different environments. This blog post will delve into the intricacies of water density, its measurement, factors affecting it, and its applications in various fields.

What is Water Density?

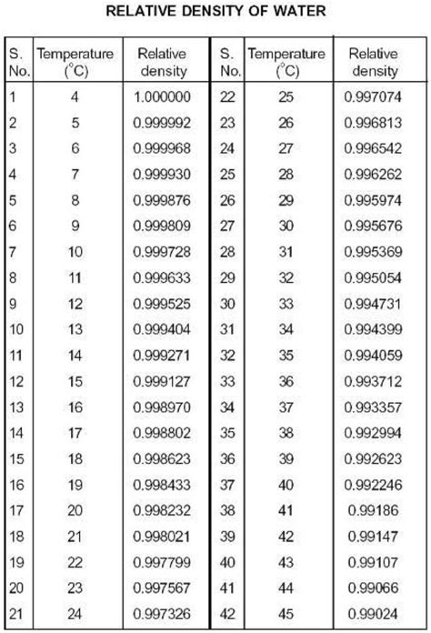
Water density is defined as the mass of water per unit volume. At standard atmospheric pressure and a temperature of 4°C, the density of water is approximately 1 kg/L. This means that one liter of water weighs one kilogram. However, water density can vary with changes in temperature and pressure.

Measurement of Water Density

Measuring water density involves determining the mass of a known volume of water. This can be done using various methods, including:

  • Hydrometers: These are simple instruments used to measure the specific gravity of liquids. By immersing a hydrometer in water, the density can be read directly from the scale.
  • Density Meters: These are more precise instruments that use oscillating U-tubes to measure density. They are commonly used in laboratories and industrial settings.
  • Pycnometers: These are glass vessels used to measure the density of liquids. The volume of the pycnometer is known, and by measuring the mass of the water it contains, the density can be calculated.

Factors Affecting Water Density

Several factors can influence the water density in kg/L. Understanding these factors is essential for accurate measurements and applications.

Temperature

Temperature is one of the most significant factors affecting water density. As the temperature of water increases, its density decreases. This is because the water molecules gain kinetic energy and move farther apart, reducing the overall density. Conversely, as the temperature decreases, the density increases until it reaches a maximum at 4°C. Below this temperature, the density decreases again due to the formation of ice, which is less dense than liquid water.

Pressure

Pressure also affects water density, although to a lesser extent than temperature. As pressure increases, the density of water increases. This is because the water molecules are forced closer together, reducing the volume they occupy. However, the effect of pressure on water density is more pronounced at higher pressures, such as those found in deep ocean trenches.

Salinity

Salinity, or the concentration of dissolved salts in water, can significantly affect its density. Seawater, for example, has a higher density than freshwater due to the presence of dissolved salts. The density of seawater increases with increasing salinity. This is an important consideration in oceanography, where variations in salinity can affect ocean currents and climate patterns.

Applications of Water Density

The concept of water density in kg/L has numerous applications in various fields. Some of the key applications include:

Hydrology

In hydrology, water density is crucial for understanding the movement of water in rivers, lakes, and groundwater systems. Variations in water density due to temperature and salinity can affect the flow of water and the distribution of pollutants. Hydrologists use density measurements to model water flow and predict the impact of environmental changes on water resources.

Oceanography

In oceanography, water density plays a critical role in understanding ocean currents and climate patterns. The density of seawater varies with temperature, salinity, and pressure, creating density gradients that drive ocean currents. These currents, in turn, influence global climate patterns by redistributing heat and nutrients around the planet. Oceanographers use density measurements to study these processes and predict their impact on the environment.

Environmental Science

In environmental science, water density is important for understanding the behavior of pollutants in water bodies. The density of pollutants can affect their distribution and movement in water, influencing their impact on aquatic ecosystems. Environmental scientists use density measurements to model the behavior of pollutants and develop strategies for their remediation.

Engineering

In engineering, water density is crucial for designing and operating water treatment systems, pipelines, and other infrastructure. Engineers use density measurements to ensure that water treatment processes are effective and that pipelines can withstand the pressure of water flow. Understanding water density is also important for designing ships and submarines, where buoyancy and stability are critical factors.

Importance of Accurate Water Density Measurements

Accurate measurements of water density in kg/L are essential for various applications. Inaccurate measurements can lead to errors in modeling and prediction, affecting decision-making in fields such as hydrology, oceanography, and environmental science. Therefore, it is important to use reliable instruments and techniques for measuring water density.

Common Instruments for Measuring Water Density

Several instruments are commonly used for measuring water density. Some of the most popular ones include:

Instrument Description Accuracy
Hydrometer A simple instrument used to measure the specific gravity of liquids. Moderate
Density Meter A precise instrument that uses oscillating U-tubes to measure density. High
Pycnometer A glass vessel used to measure the density of liquids. High

📝 Note: The choice of instrument depends on the required accuracy and the specific application. For general purposes, a hydrometer may be sufficient, but for more precise measurements, a density meter or pycnometer is recommended.

Calculating Water Density

Water density can be calculated using the formula:

Density (ρ) = Mass (m) / Volume (V)

Where:

  • ρ is the density in kg/L
  • m is the mass in kilograms
  • V is the volume in liters

For example, if you have 2 kilograms of water occupying a volume of 2 liters, the density would be:

Density (ρ) = 2 kg / 2 L = 1 kg/L

Water Density in Different Environments

The water density in kg/L can vary significantly in different environments due to variations in temperature, pressure, and salinity. Understanding these variations is important for accurate modeling and prediction in various fields.

Freshwater Environments

In freshwater environments, such as rivers and lakes, water density is primarily affected by temperature. The density of freshwater is highest at 4°C and decreases as the temperature increases or decreases from this point. This is important for understanding the stratification of water bodies and the movement of nutrients and pollutants.

Marine Environments

In marine environments, water density is affected by both temperature and salinity. Seawater has a higher density than freshwater due to the presence of dissolved salts. The density of seawater increases with increasing salinity and decreasing temperature. This creates density gradients that drive ocean currents and influence global climate patterns.

Deep Ocean Environments

In deep ocean environments, pressure also plays a significant role in determining water density. As pressure increases with depth, the density of seawater also increases. This is important for understanding the behavior of deep-sea currents and the distribution of marine life.

Understanding the concept of water density in kg/L is crucial for various scientific and engineering disciplines. It affects the behavior of water in different environments and has numerous applications in fields such as hydrology, oceanography, and environmental science. Accurate measurements of water density are essential for modeling and prediction, and various instruments are available for this purpose. By understanding the factors that affect water density and its applications, we can better manage water resources and protect the environment.

Related Terms:

  • water density lbm ft3
  • water density in kn m3
  • water density in lb in3
  • water density chart with temperature
  • density of water calculator
  • fresh water density kg m3
Facebook Twitter WhatsApp
Related Posts
Don't Miss