Learning

Volume Of Revolution

Volume Of Revolution
Volume Of Revolution

Calculus is a powerful branch of mathematics that deals with rates of change and accumulation of quantities. One of the fascinating applications of calculus is the computation of the Volume Of Revolution. This concept involves rotating a curve around an axis to generate a three-dimensional shape, and then calculating the volume of that shape. Understanding the Volume Of Revolution is crucial for various fields, including physics, engineering, and computer graphics.

Understanding the Volume Of Revolution

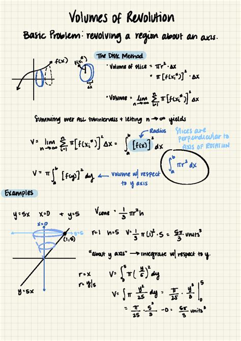
The Volume Of Revolution is derived from the concept of integrating the area under a curve. When a curve is rotated around an axis, it sweeps out a solid of revolution. The volume of this solid can be found by integrating the area of the cross-sectional slices perpendicular to the axis of rotation.

There are two primary methods to calculate the Volume Of Revolution:

  • The Disk Method
  • The Shell Method

The Disk Method

The Disk Method is used when the axis of rotation is horizontal or vertical and the curve is revolved around this axis. The volume is calculated by summing the volumes of infinitesimally thin disks that make up the solid of revolution.

The formula for the Disk Method is:

V = π ∫ab [f(x)]2 dx

Where:

  • V is the volume of the solid.
  • f(x) is the function describing the curve.
  • a and b are the limits of integration.

For example, consider the curve y = x2 from x = 0 to x = 2, revolved around the x-axis. The volume of the resulting solid can be calculated as follows:

V = π ∫02 (x2)2 dx

V = π ∫02 x4 dx

V = π [x5/5] from 0 to 2

V = π [(2)5/5 - (0)5/5]

V = π [32/5]

V = 32π/5

This method is particularly useful when the curve is simple and the axis of rotation is straightforward.

The Shell Method

The Shell Method is used when the axis of rotation is vertical or when the curve is revolved around a vertical axis. This method involves summing the volumes of cylindrical shells that make up the solid of revolution.

The formula for the Shell Method is:

V = 2π ∫ab x f(x) dx

Where:

  • V is the volume of the solid.
  • f(x) is the function describing the curve.
  • a and b are the limits of integration.

For example, consider the curve y = x2 from x = 0 to x = 2, revolved around the y-axis. The volume of the resulting solid can be calculated as follows:

V = 2π ∫02 x (x2) dx

V = 2π ∫02 x3 dx

V = 2π [x4/4] from 0 to 2

V = 2π [(2)4/4 - (0)4/4]

V = 2π [16/4]

V = 8π

This method is particularly useful when the curve is more complex or when the axis of rotation is not straightforward.

Comparing the Disk and Shell Methods

Both the Disk and Shell Methods are powerful tools for calculating the Volume Of Revolution. The choice between the two depends on the specific problem and the axis of rotation. Here is a comparison of the two methods:

Aspect Disk Method Shell Method
Axis of Rotation Horizontal or Vertical Vertical
Formula V = π ∫ab [f(x)]2 dx V = 2π ∫ab x f(x) dx
Use Case Simple curves, straightforward axis of rotation Complex curves, vertical axis of rotation

Understanding when to use each method is crucial for efficiently solving problems involving the Volume Of Revolution.

💡 Note: The Disk Method is generally easier to apply when the curve is simple and the axis of rotation is straightforward. The Shell Method is more versatile and can handle more complex curves and vertical axes of rotation.

Applications of the Volume Of Revolution

The Volume Of Revolution has numerous applications in various fields. Some of the key areas where this concept is applied include:

  • Physics: Calculating the volume of objects like spheres, cylinders, and cones, which are often used in physics problems.
  • Engineering: Designing and analyzing the volume of complex shapes in mechanical and civil engineering.
  • Computer Graphics: Creating 3D models and animations by revolving curves around axes.
  • Mathematics: Solving problems in calculus and geometry that involve the volume of solids of revolution.

For example, in physics, the volume of a sphere can be calculated using the Volume Of Revolution by revolving a semicircle around its diameter. Similarly, in engineering, the volume of a cylindrical tank can be calculated by revolving a rectangle around one of its sides.

Advanced Topics in Volume Of Revolution

Beyond the basic Disk and Shell Methods, there are advanced topics in the Volume Of Revolution that involve more complex shapes and rotations. These include:

  • Washer Method: Used when the solid of revolution has a hole in the middle, such as a hollow cylinder or a ring.
  • Double Integration: Used when the solid of revolution is generated by rotating a region bounded by two curves around an axis.
  • Parametric Equations: Used when the curve is described by parametric equations, requiring a different approach to integration.

These advanced topics require a deeper understanding of calculus and integration techniques. However, they provide powerful tools for solving more complex problems involving the Volume Of Revolution.

💡 Note: The Washer Method is particularly useful when dealing with solids that have a hole in the middle, such as a hollow cylinder or a ring. This method involves subtracting the volume of the inner solid from the volume of the outer solid.

Conclusion

The Volume Of Revolution is a fundamental concept in calculus that has wide-ranging applications in various fields. By understanding the Disk and Shell Methods, as well as advanced topics like the Washer Method and double integration, one can efficiently calculate the volume of complex shapes generated by revolving curves around axes. This knowledge is invaluable for solving problems in physics, engineering, computer graphics, and mathematics. Mastering the Volume Of Revolution opens up a world of possibilities for analyzing and designing three-dimensional objects, making it an essential tool for anyone studying calculus or related fields.

Related Terms:

  • volume of revolution integration
  • volume of revolution calculator
  • solids of revolution
  • volume of revolution animation
  • volume of revolution questions
  • volume of revolution geogebra
Facebook Twitter WhatsApp
Related Posts
Don't Miss