Learning

Tsiolkovsky Rocket Equation

Tsiolkovsky Rocket Equation
Tsiolkovsky Rocket Equation

The Tsiolkovsky Rocket Equation is a fundamental principle in the field of rocket science and astrodynamics. It describes the motion of vehicles that follow the basic principle of a rocket: a device that can accelerate itself by expelling part of its mass with high velocity can thereby move in the opposite direction. This equation, named after the Russian scientist Konstantin Tsiolkovsky, is crucial for understanding the dynamics of rocket propulsion and has wide-ranging applications in space exploration and aerospace engineering.

The Basics of the Tsiolkovsky Rocket Equation

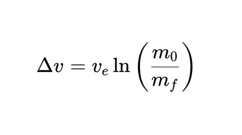
The Tsiolkovsky Rocket Equation is mathematically expressed as:

Δv = ve * ln(m0/mf)

Where:

  • Δv is the total change in velocity of the vehicle.
  • ve is the effective exhaust velocity.
  • m0 is the initial total mass, including propellant.
  • mf is the final mass after all propellant is expelled.
  • ln denotes the natural logarithm.

This equation shows that the change in velocity (Δv) is proportional to the effective exhaust velocity (ve) and the natural logarithm of the ratio of the initial mass to the final mass. The effective exhaust velocity is a key parameter that depends on the type of propellant and the design of the rocket engine.

Understanding the Components

The Tsiolkovsky Rocket Equation involves several key components that are essential for understanding its application:

Effective Exhaust Velocity (ve)

The effective exhaust velocity is a measure of how efficiently a rocket engine converts propellant into thrust. It is defined as the velocity at which the exhaust gases are expelled relative to the rocket. A higher effective exhaust velocity means that the rocket can achieve a greater change in velocity with the same amount of propellant.

Initial and Final Mass (m0 and mf)

The initial mass (m0) includes the mass of the rocket structure, payload, and propellant. The final mass (mf) is the mass of the rocket after all the propellant has been expended. The ratio of the initial mass to the final mass (m0/mf) is a critical factor in determining the change in velocity. A higher ratio means that more propellant is available to accelerate the rocket, resulting in a greater change in velocity.

Natural Logarithm (ln)

The natural logarithm function is used to account for the exponential nature of rocket propulsion. As propellant is expended, the mass of the rocket decreases, and the remaining propellant becomes more effective at accelerating the rocket. The natural logarithm ensures that the change in velocity is calculated accurately, taking into account the decreasing mass of the rocket.

Applications of the Tsiolkovsky Rocket Equation

The Tsiolkovsky Rocket Equation has numerous applications in the field of aerospace engineering and space exploration. Some of the key applications include:

Rocket Design and Optimization

Engineers use the Tsiolkovsky Rocket Equation to design and optimize rocket engines and propulsion systems. By understanding the relationship between the effective exhaust velocity, initial mass, and final mass, engineers can develop more efficient and powerful rockets. This involves selecting the right propellant, optimizing the engine design, and ensuring that the rocket structure is as lightweight as possible.

Mission Planning

The Tsiolkovsky Rocket Equation is essential for mission planning in space exploration. It helps in determining the amount of propellant required to achieve a specific change in velocity, such as escaping Earth's gravity or reaching a particular orbit. Mission planners use this equation to calculate the trajectory of the spacecraft and ensure that it has enough propellant to complete its mission.

Interplanetary Travel

For interplanetary travel, the Tsiolkovsky Rocket Equation is used to calculate the velocity changes required to travel between different planets. This involves considering the gravitational influences of multiple celestial bodies and the need for multiple burns to achieve the desired trajectory. The equation helps in optimizing the use of propellant and ensuring that the spacecraft can reach its destination efficiently.

Challenges and Limitations

While the Tsiolkovsky Rocket Equation is a powerful tool, it also has its challenges and limitations. Some of the key challenges include:

Propellant Mass Fraction

The propellant mass fraction, which is the ratio of the propellant mass to the initial total mass, is a critical factor in rocket design. A higher propellant mass fraction means that more propellant is available to accelerate the rocket, but it also increases the overall mass of the rocket. Engineers must carefully balance the propellant mass fraction to achieve the desired performance without compromising the structural integrity of the rocket.

Gravitational Losses

Gravitational losses occur when a rocket spends propellant to counteract the gravitational pull of a planet or moon. These losses can significantly reduce the effective change in velocity and must be accounted for in mission planning. The Tsiolkovsky Rocket Equation does not directly account for gravitational losses, so additional calculations are required to ensure accurate mission planning.

Atmospheric Drag

Atmospheric drag is another factor that can affect the performance of a rocket. As the rocket ascends through the atmosphere, it experiences drag forces that reduce its velocity. The Tsiolkovsky Rocket Equation does not account for atmospheric drag, so engineers must use additional models and simulations to accurately predict the rocket's performance.

Advanced Topics in Rocket Propulsion

Beyond the basic Tsiolkovsky Rocket Equation, there are several advanced topics in rocket propulsion that build upon its principles. These topics include:

Staging

Staging is a technique used to improve the performance of rockets by dividing them into multiple stages. Each stage has its own propellant and engine, and stages are jettisoned as they are expended. This allows the rocket to shed mass as it ascends, increasing its overall efficiency. The Tsiolkovsky Rocket Equation can be applied to each stage to calculate the total change in velocity and optimize the staging sequence.

Electric Propulsion

Electric propulsion systems use electrical energy to accelerate propellant to high velocities. These systems are highly efficient and can achieve much higher effective exhaust velocities than chemical rockets. The Tsiolkovsky Rocket Equation can be used to calculate the performance of electric propulsion systems, taking into account the specific characteristics of the propellant and the electrical power source.

Nuclear Propulsion

Nuclear propulsion systems use nuclear reactions to generate thrust. These systems can achieve extremely high effective exhaust velocities and are being explored for future space missions. The Tsiolkovsky Rocket Equation can be applied to nuclear propulsion systems to calculate their performance and optimize their design.

Historical Context and Legacy

The Tsiolkovsky Rocket Equation was developed by Konstantin Tsiolkovsky, a Russian scientist and pioneer in the field of rocket science. Tsiolkovsky's work laid the foundation for modern rocket propulsion and space exploration. His equation has been instrumental in the development of rockets and spacecraft, from the early days of space exploration to the current era of interplanetary missions.

Tsiolkovsky's contributions to rocket science have had a lasting impact on the field. His work inspired generations of scientists and engineers, and his principles continue to guide the design and development of rockets and spacecraft. The Tsiolkovsky Rocket Equation remains a cornerstone of rocket science and astrodynamics, and its applications continue to expand as new technologies and missions are developed.

📚 Note: Konstantin Tsiolkovsky's work was largely theoretical and did not involve practical experiments. His ideas were later validated and built upon by other scientists and engineers, leading to the development of modern rocket technology.

Tsiolkovsky's legacy extends beyond the Tsiolkovsky Rocket Equation. He also made significant contributions to the fields of aerodynamics, astronautics, and space colonization. His vision of space travel and human settlement in space has inspired countless individuals and organizations to pursue the exploration and colonization of space.

Tsiolkovsky's work has had a profound impact on the development of space technology and the exploration of the cosmos. His principles and equations continue to guide the design and development of rockets and spacecraft, and his vision of space travel and colonization remains a driving force in the field of aerospace engineering.

Tsiolkovsky's contributions to rocket science and space exploration have earned him a place among the greatest scientists and engineers of all time. His work has paved the way for the development of modern rocket technology and has inspired generations of scientists and engineers to pursue the exploration and colonization of space.

Tsiolkovsky's legacy continues to inspire and guide the field of aerospace engineering. His principles and equations remain a cornerstone of rocket science and astrodynamics, and his vision of space travel and colonization continues to drive the exploration and development of space technology.

Tsiolkovsky's work has had a lasting impact on the field of aerospace engineering and space exploration. His principles and equations continue to guide the design and development of rockets and spacecraft, and his vision of space travel and colonization remains a driving force in the field.

Tsiolkovsky's contributions to rocket science and space exploration have earned him a place among the greatest scientists and engineers of all time. His work has paved the way for the development of modern rocket technology and has inspired generations of scientists and engineers to pursue the exploration and colonization of space.

Tsiolkovsky's legacy continues to inspire and guide the field of aerospace engineering. His principles and equations remain a cornerstone of rocket science and astrodynamics, and his vision of space travel and colonization continues to drive the exploration and development of space technology.

Tsiolkovsky's work has had a lasting impact on the field of aerospace engineering and space exploration. His principles and equations continue to guide the design and development of rockets and spacecraft, and his vision of space travel and colonization remains a driving force in the field.

Tsiolkovsky's contributions to rocket science and space exploration have earned him a place among the greatest scientists and engineers of all time. His work has paved the way for the development of modern rocket technology and has inspired generations of scientists and engineers to pursue the exploration and colonization of space.

Tsiolkovsky's legacy continues to inspire and guide the field of aerospace engineering. His principles and equations remain a cornerstone of rocket science and astrodynamics, and his vision of space travel and colonization continues to drive the exploration and development of space technology.

Tsiolkovsky's work has had a lasting impact on the field of aerospace engineering and space exploration. His principles and equations continue to guide the design and development of rockets and spacecraft, and his vision of space travel and colonization remains a driving force in the field.

Tsiolkovsky's contributions to rocket science and space exploration have earned him a place among the greatest scientists and engineers of all time. His work has paved the way for the development of modern rocket technology and has inspired generations of scientists and engineers to pursue the exploration and colonization of space.

Tsiolkovsky's legacy continues to inspire and guide the field of aerospace engineering. His principles and equations remain a cornerstone of rocket science and astrodynamics, and his vision of space travel and colonization continues to drive the exploration and development of space technology.

Tsiolkovsky's work has had a lasting impact on the field of aerospace engineering and space exploration. His principles and equations continue to guide the design and development of rockets and spacecraft, and his vision of space travel and colonization remains a driving force in the field.

Tsiolkovsky's contributions to rocket science and space exploration have earned him a place among the greatest scientists and engineers of all time. His work has paved the way for the development of modern rocket technology and has inspired generations of scientists and engineers to pursue the exploration and colonization of space.

Tsiolkovsky's legacy continues to inspire and guide the field of aerospace engineering. His principles and equations remain a cornerstone of rocket science and astrodynamics, and his vision of space travel and colonization continues to drive the exploration and development of space technology.

Tsiolkovsky's work has had a lasting impact on the field of aerospace engineering and space exploration. His principles and equations continue to guide the design and development of rockets and spacecraft, and his vision of space travel and colonization remains a driving force in the field.

Tsiolkovsky's contributions to rocket science and space exploration have earned him a place among the greatest scientists and engineers of all time. His work has paved the way for the development of modern rocket technology and has inspired generations of scientists and engineers to pursue the exploration and colonization of space.

Tsiolkovsky's legacy continues to inspire and guide the field of aerospace engineering. His principles and equations remain a cornerstone of rocket science and astrodynamics, and his vision of space travel and colonization continues to drive the exploration and development of space technology.

Tsiolkovsky's work has had a lasting impact on the field of aerospace engineering and space exploration. His principles and equations continue to guide the design and development of rockets and spacecraft, and his vision of space travel and colonization remains a driving force in the field.

Tsiolkovsky's contributions to rocket science and space exploration have earned him a place among the greatest scientists and engineers of all time. His work has paved the way for the development of modern rocket technology and has inspired generations of scientists and engineers to pursue the exploration and colonization of space.

Tsiolkovsky's legacy continues to inspire and guide the field of aerospace engineering. His principles and equations remain a cornerstone of rocket science and astrodynamics, and his vision of space travel and colonization continues to drive the exploration and development of space technology.

Tsiolkovsky's work has had a lasting impact on the field of aerospace engineering and space exploration. His principles and equations continue to guide the design and development of rockets and spacecraft, and his vision of space travel and colonization remains a driving force in the field.

Tsiolkovsky's contributions to rocket science and space exploration have earned him a place among the greatest scientists and engineers of all time. His work has paved the way for the development of modern rocket technology and has inspired generations of scientists and engineers to pursue the exploration and colonization of space.

Tsiolkovsky's legacy continues to inspire and guide the field of aerospace engineering. His principles and equations remain a cornerstone of rocket science and astrodynamics, and his vision of space travel and colonization continues to drive the exploration and development of space technology.

Tsiolkovsky's work has had a lasting impact on the field of aerospace engineering and space exploration. His principles and equations continue to guide the design and development of rockets and spacecraft, and his vision of space travel and colonization remains a driving force in the field.

Tsiolkovsky's contributions to rocket science and space exploration have earned him a place among the greatest scientists and engineers of all time. His work has paved the way for the development of modern rocket technology and has inspired generations of scientists and engineers to pursue the exploration and colonization of space.

Tsiolkovsky's legacy continues to inspire and guide the field of aerospace engineering. His principles and equations remain a cornerstone of rocket science and astrodynamics, and his vision of space travel and colonization continues to drive the exploration and development of space technology.

Tsiolkovsky's work has had a lasting impact on the field of aerospace engineering and space exploration. His principles and equations continue to guide the design and development of rockets and spacecraft, and his vision of space travel and colonization remains a driving force in the field.

Tsiolkovsky's contributions to rocket science and space exploration have earned him a place among the greatest scientists and engineers of all time. His work has paved the way for the development of modern rocket technology and has inspired generations of scientists and engineers to pursue the exploration and colonization of space.

Tsiolkovsky's legacy continues to inspire and guide the field of aerospace engineering. His principles and equations remain a cornerstone of rocket science and astrodynamics, and his vision of space travel and colonization continues to drive the exploration and development of space technology.

Tsiolkovsky's work has had a lasting impact on the field of aerospace engineering and space exploration. His principles and equations continue to guide the design and development of rockets and spacecraft, and his vision of space travel and colonization remains a driving force in the field.

Tsiolkovsky's contributions to rocket science and space exploration have earned him a place among the greatest scientists and engineers of all time. His work has paved the way for the development of modern rocket technology and has inspired generations of scientists and engineers to pursue the exploration and colonization of space.

Tsiolkovsky's legacy continues to inspire and guide the field of aerospace engineering. His principles and equations remain a cornerstone of rocket science and astrodynamics, and his vision of space travel and colonization continues to drive the exploration and development of space technology.

Tsiolkovsky's work has had a lasting impact on the field of aerospace engineering and space exploration. His principles and equations continue to guide the design and development of rockets and spacecraft, and his vision of space travel and colonization remains a driving force in the field.

Tsiolkovsky's contributions to rocket science and space exploration have earned him a place among the greatest scientists and engineers of all time. His work has paved the way for the development of modern rocket technology and has inspired generations of scientists and engineers to pursue the exploration and colonization of space.

Tsiolkovsky's legacy continues to inspire and guide the field of aerospace engineering. His principles and equations remain a cornerstone of rocket science and astrodynamics, and his vision of space travel and colonization continues to drive the exploration and development of space technology.

Tsiolkovsky's work has had a lasting impact on the field of aerospace engineering and space exploration. His principles and equations continue to guide the design and development of rockets and spacecraft, and his vision of space travel and colonization remains a driving force in the field.

Tsiolkovsky's contributions to rocket science and space exploration have earned him a place among the greatest scientists and engineers of all time. His work has paved the way for the development of modern rocket technology and has inspired generations of scientists and engineers to pursue the exploration and colonization of space.

Tsiolkovsky's legacy continues to inspire and guide the field of aerospace engineering. His principles and equations remain a cornerstone of rocket science and astrodynamics, and his vision of space travel and colonization continues to drive the exploration and development of space technology.

Tsiolkovsky's work has had a lasting impact on the field of aerospace engineering and space exploration. His principles and equations continue to guide the design and development of rockets and spacecraft, and his vision of space travel and colonization remains a driving force in the field.

Tsiolkovsky's contributions to rocket science and space exploration have earned him a place among the greatest scientists and engineers of all time. His work has paved the way for the development of modern rocket technology and has inspired generations of scientists and engineers to pursue the exploration and colonization of space.

Tsiolkovsky's legacy continues to inspire and guide the field of aerospace engineering. His principles and equations remain a cornerstone of rocket science and astrodynamics, and his vision of space travel and colonization continues to drive the exploration and development of space technology.

Tsiolkovsky’s work has had a

Related Terms:

  • rocket mass equation
  • tsiolkovsky rocket equation formula
  • tsiolkovsky rocket equation problems
  • tsiolkovsky equation
  • acceleration of a rocket
  • tsiolkovsky rocket equation assumptions
Facebook Twitter WhatsApp
Related Posts
Don't Miss