Learning

Taylor And Maclaurin Series

Taylor And Maclaurin Series
Taylor And Maclaurin Series

In the realm of calculus, Taylor and Maclaurin Series are powerful tools that allow us to approximate functions using polynomials. These series expansions are fundamental in various fields of mathematics, physics, and engineering, providing insights into the behavior of functions and enabling complex calculations to be simplified. This blog post will delve into the concepts of Taylor and Maclaurin Series, their derivations, applications, and the differences between them.

Understanding Taylor Series

A Taylor Series is a representation of a function as an infinite sum of terms that are calculated from the values of the function's derivatives at a single point. The Taylor Series of a function f(x) about a point a is given by:

f(x) = f(a) + f'(a)(x - a) + f''(a)/2!(x - a)2 + f'''(a)/3!(x - a)3 + ... + f(n)(a)/n!(x - a)n + ...

Where f'(a), f''(a), f'''(a), etc., are the first, second, third, and higher-order derivatives of f(x) evaluated at a, and n! denotes the factorial of n.

Derivation of Taylor Series

The derivation of the Taylor Series involves the concept of approximating a function using its derivatives. The idea is to construct a polynomial that matches the function and its derivatives at a specific point. Here are the steps to derive the Taylor Series:

  • Start with the function f(x) and evaluate it at the point a.
  • Compute the first derivative f'(x) and evaluate it at a.
  • Compute the second derivative f''(x) and evaluate it at a.
  • Continue this process for higher-order derivatives.
  • Construct the polynomial using the evaluated derivatives and the factorial terms.

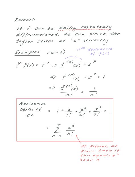
For example, consider the function f(x) = ex. The Taylor Series expansion about a = 0 is:

ex = 1 + x + x2/2! + x3/3! + x4/4! + ...

This series converges to ex for all x.

πŸ’‘ Note: The Taylor Series is particularly useful when the function is analytic, meaning it can be expressed as a power series.

Maclaurin Series: A Special Case of Taylor Series

A Maclaurin Series is a special case of the Taylor Series where the point a is chosen to be 0. This simplification makes the Maclaurin Series easier to compute and understand. The Maclaurin Series of a function f(x) is given by:

f(x) = f(0) + f'(0)x + f''(0)/2!x2 + f'''(0)/3!x3 + ... + f(n)(0)/n!xn + ...

For example, the Maclaurin Series for sin(x) is:

sin(x) = x - x3/3! + x5/5! - x7/7! + ...

This series converges to sin(x) for all x.

Applications of Taylor and Maclaurin Series

Taylor and Maclaurin Series have wide-ranging applications in various fields. Some of the key applications include:

  • Approximation of Functions: Taylor and Maclaurin Series are used to approximate complex functions with polynomials, making calculations easier.
  • Numerical Analysis: These series are essential in numerical methods for solving differential equations and integrating functions.
  • Physics and Engineering: In fields like physics and engineering, Taylor Series are used to simplify complex equations and models.
  • Signal Processing: In signal processing, Taylor Series are used to analyze and synthesize signals.

Differences Between Taylor and Maclaurin Series

While Taylor and Maclaurin Series are closely related, there are key differences between them:

Taylor Series Maclaurin Series
Expands a function about any point a. Expands a function about the point a = 0.
More general and flexible. Simpler and easier to compute.
Useful for functions that are not centered at 0. Useful for functions that are centered at 0.

For example, the Taylor Series of f(x) = ln(x) about a = 1 is:

ln(x) = (x - 1) - (x - 1)2/2 + (x - 1)3/3 - (x - 1)4/4 + ...

While the Maclaurin Series of f(x) = ln(x) does not exist because the function is not defined at x = 0.

πŸ’‘ Note: The choice between Taylor and Maclaurin Series depends on the specific problem and the function being analyzed.

Convergence of Taylor and Maclaurin Series

The convergence of Taylor and Maclaurin Series is a crucial aspect to consider. A series is said to converge if the sum of its terms approaches a finite limit as the number of terms increases. The convergence of a Taylor or Maclaurin Series depends on the function and the interval of interest.

For example, the Taylor Series for ex converges for all x, while the Taylor Series for 1/(1 - x) converges only for -1 < x < 1.

To determine the convergence of a Taylor or Maclaurin Series, one can use various tests, such as the Ratio Test or the Root Test. These tests help in identifying the interval of convergence and the behavior of the series at the endpoints of the interval.

πŸ’‘ Note: Understanding the convergence of a series is essential for ensuring the accuracy of approximations and calculations.

Examples of Taylor and Maclaurin Series

Let's explore some examples of Taylor and Maclaurin Series to illustrate their applications and properties.

Example 1: Taylor Series of sin(x) about a = Ο€/2

The Taylor Series of sin(x) about a = Ο€/2 is:

sin(x) = 1 - (x - Ο€/2)2/2! + (x - Ο€/2)4/4! - (x - Ο€/2)6/6! + ...

This series converges to sin(x) for all x.

Example 2: Maclaurin Series of cos(x)

The Maclaurin Series of cos(x) is:

cos(x) = 1 - x2/2! + x4/4! - x6/6! + ...

This series converges to cos(x) for all x.

Example 3: Taylor Series of ln(x) about a = 1

The Taylor Series of ln(x) about a = 1 is:

ln(x) = (x - 1) - (x - 1)2/2 + (x - 1)3/3 - (x - 1)4/4 + ...

This series converges to ln(x) for 0 < x ≀ 2.

πŸ’‘ Note: The examples above demonstrate the versatility of Taylor and Maclaurin Series in approximating different types of functions.

In conclusion, Taylor and Maclaurin Series are indispensable tools in the field of calculus, offering powerful methods for approximating functions and solving complex problems. By understanding the derivation, applications, and convergence of these series, one can gain deeper insights into the behavior of functions and enhance their problem-solving skills in various scientific and engineering disciplines.

Related Terms:

  • taylor and maclaurin series calculator
  • taylor and maclaurin series ppt
  • 11.10 taylor and maclaurin series
  • taylor and maclaurin series questions
  • taylor maclaurin and binomial series
  • maclaurin series calculator
Facebook Twitter WhatsApp
Related Posts
Don't Miss