Learning

Synthetic Natural Rubber

Synthetic Natural Rubber
Synthetic Natural Rubber

Synthetic Natural Rubber (SNR) has revolutionized the rubber industry, offering a sustainable and cost-effective alternative to traditional natural rubber. This innovative material is derived from synthetic processes, mimicking the properties of natural rubber while providing enhanced durability and performance. As the demand for rubber continues to grow, particularly in industries such as automotive, construction, and manufacturing, the significance of Synthetic Natural Rubber cannot be overstated.

Understanding Synthetic Natural Rubber

Synthetic Natural Rubber is a type of elastomer produced through chemical synthesis rather than being extracted from natural sources like rubber trees. The primary advantage of SNR is its consistency and reliability, as it can be manufactured to meet specific performance requirements. This makes it an ideal choice for applications where precision and durability are crucial.

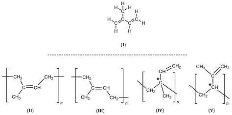
SNR is produced through a process called polymerization, where monomers are linked together to form long polymer chains. The most common monomers used in the production of SNR include isoprene and butadiene. These monomers are derived from petroleum-based feedstocks, making the production process more efficient and less dependent on natural resources.

Types of Synthetic Natural Rubber

There are several types of Synthetic Natural Rubber, each with its unique properties and applications. The most common types include:

  • Styrene-Butadiene Rubber (SBR): Widely used in tire manufacturing due to its excellent abrasion resistance and durability.
  • Polybutadiene Rubber (BR): Known for its high resilience and low rolling resistance, making it suitable for high-performance tires.
  • Polyisoprene Rubber (IR): Similar to natural rubber in terms of properties, often used in applications requiring high elasticity and flexibility.
  • Ethylene Propylene Diene Monomer (EPDM): Highly resistant to heat, ozone, and weathering, commonly used in automotive seals and gaskets.

Applications of Synthetic Natural Rubber

Synthetic Natural Rubber finds applications in a wide range of industries due to its versatility and performance characteristics. Some of the key applications include:

  • Automotive Industry: SNR is extensively used in the production of tires, belts, hoses, and seals. Its durability and resistance to wear and tear make it an ideal material for automotive components.
  • Construction Industry: In construction, SNR is used in roofing materials, waterproofing membranes, and sealants. Its resistance to weathering and UV radiation makes it suitable for outdoor applications.
  • Manufacturing Industry: SNR is used in the production of various industrial products, including conveyor belts, gaskets, and seals. Its ability to withstand high temperatures and pressures makes it a reliable choice for industrial applications.
  • Medical Industry: In the medical field, SNR is used in the production of medical gloves, catheters, and other medical devices. Its biocompatibility and flexibility make it suitable for medical applications.

Advantages of Synthetic Natural Rubber

Synthetic Natural Rubber offers several advantages over traditional natural rubber. Some of the key benefits include:

  • Consistency: SNR can be produced with consistent properties, ensuring reliable performance in various applications.
  • Durability: SNR is highly resistant to wear and tear, making it suitable for applications requiring long-term performance.
  • Cost-Effective: The production of SNR is more cost-effective compared to natural rubber, making it an economical choice for manufacturers.
  • Versatility: SNR can be customized to meet specific performance requirements, making it suitable for a wide range of applications.
  • Sustainability: The production of SNR is less dependent on natural resources, making it a more sustainable option compared to natural rubber.

Production Process of Synthetic Natural Rubber

The production of Synthetic Natural Rubber involves several steps, including the extraction of monomers, polymerization, and processing. The following table outlines the key steps in the production process:

Step Description
Extraction of Monomers Monomers such as isoprene and butadiene are extracted from petroleum-based feedstocks.
Polymerization Monomers are linked together to form long polymer chains through a process called polymerization.
Processing The polymer is processed into various forms, such as sheets, pellets, or liquid latex, depending on the application.
Quality Control The final product is tested for quality and performance to ensure it meets the required specifications.

🔍 Note: The production process of SNR can vary depending on the type of rubber and the specific requirements of the application.

Environmental Impact of Synthetic Natural Rubber

While Synthetic Natural Rubber offers several advantages, it is important to consider its environmental impact. The production of SNR involves the use of petroleum-based feedstocks, which can contribute to greenhouse gas emissions and environmental pollution. However, advancements in technology and sustainable practices are helping to mitigate these impacts.

One of the key environmental benefits of SNR is its reduced dependence on natural resources. Unlike natural rubber, which is extracted from rubber trees, SNR can be produced from renewable feedstocks such as biomass and bio-based monomers. This makes it a more sustainable option for industries looking to reduce their environmental footprint.

Additionally, the production of SNR can be optimized to minimize waste and energy consumption. By implementing sustainable practices such as recycling and waste management, manufacturers can further reduce the environmental impact of SNR production.

Future of Synthetic Natural Rubber

The future of Synthetic Natural Rubber looks promising, with ongoing research and development aimed at improving its performance and sustainability. Advancements in technology are enabling the production of SNR with enhanced properties, such as increased durability and resistance to wear and tear.

Moreover, the growing demand for sustainable and eco-friendly materials is driving the adoption of SNR in various industries. As consumers and manufacturers become more aware of the environmental impact of their choices, the demand for SNR is expected to continue to grow.

In conclusion, Synthetic Natural Rubber is a versatile and sustainable material that offers numerous benefits over traditional natural rubber. Its consistency, durability, and cost-effectiveness make it an ideal choice for a wide range of applications. As the demand for rubber continues to grow, the significance of SNR in the rubber industry cannot be overstated. With ongoing research and development, the future of SNR looks bright, paving the way for a more sustainable and eco-friendly rubber industry.

Related Terms:

  • compound to make synthetic rubber
  • why was synthetic rubber invented
  • manufacturer of rubber products
  • different types of synthetic rubber
  • synthetic vs natural rubber
  • when was synthetic rubber invented
Facebook Twitter WhatsApp
Related Posts
Don't Miss