Learning

Steady State Error

Steady State Error
Steady State Error

Understanding the concept of steady state error is crucial for anyone working in control systems engineering. This error is a fundamental aspect of control theory that helps engineers design systems that can accurately track reference inputs or reject disturbances. In this post, we will delve into the intricacies of steady state error, its causes, and how to mitigate it in various control systems.

What is Steady State Error?

Steady state error refers to the difference between the desired output (setpoint) and the actual output of a control system after it has reached a steady state. In simpler terms, it is the residual error that remains once the system has stabilized. This error is particularly important in systems where precision and accuracy are critical, such as in industrial automation, aerospace, and robotics.

Causes of Steady State Error

Several factors can contribute to steady state error in a control system. Understanding these causes is the first step in mitigating the error. Some of the primary causes include:

  • System Type: The type of the system (e.g., Type 0, Type 1, Type 2) significantly affects the steady state error. Higher-order systems generally have lower steady state errors.
  • Gain Settings: Incorrect gain settings can lead to significant steady state errors. Proper tuning of proportional, integral, and derivative (PID) gains is essential.
  • Disturbances: External disturbances can cause the system to deviate from its desired output, leading to steady state error.
  • Model Uncertainties: Inaccuracies in the system model can result in errors that persist even after the system has reached a steady state.

Types of Steady State Error

Steady state error can be categorized based on the type of input or disturbance affecting the system. The main types are:

  • Position Error: This occurs when the system’s output does not reach the desired setpoint.
  • Velocity Error: This type of error is observed when the system’s output does not match the desired rate of change.
  • Acceleration Error: This error is related to the system’s inability to match the desired acceleration.

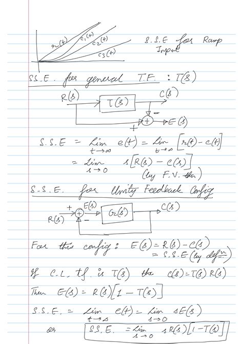
Mathematical Representation of Steady State Error

The steady state error can be mathematically represented using the final value theorem. For a system with a transfer function G(s), the steady state error e(∞) for a step input can be calculated as:

📝 Note: The final value theorem states that the steady state value of a function f(t) is given by the limit of sF(s) as s approaches zero, where F(s) is the Laplace transform of f(t).

e(∞) = lim (s → 0) [sE(s)]

where E(s) is the Laplace transform of the error signal e(t).

Mitigating Steady State Error

Mitigating steady state error involves several strategies, including system design, controller tuning, and the use of advanced control techniques. Here are some effective methods:

Increasing System Type

One of the most straightforward ways to reduce steady state error is to increase the system type. This can be achieved by adding integrators to the system. For example, a Type 1 system has one integrator and can eliminate steady state error for step inputs, while a Type 2 system has two integrators and can eliminate steady state error for ramp inputs.

Proper Gain Tuning

Proper tuning of the controller gains is crucial for minimizing steady state error. PID controllers are commonly used, and their gains (Kp, Ki, Kd) need to be carefully adjusted. The integral gain (Ki) is particularly important for eliminating steady state error, as it accumulates the error over time and adjusts the control signal accordingly.

Feedforward Control

Feedforward control involves using a model of the system to predict the necessary control action based on the desired output. This method can significantly reduce steady state error by anticipating and compensating for disturbances before they affect the system.

Advanced Control Techniques

For more complex systems, advanced control techniques such as model predictive control (MPC), adaptive control, and robust control can be employed. These techniques provide more sophisticated ways to handle uncertainties and disturbances, thereby reducing steady state error.

Examples of Steady State Error in Different Systems

To better understand steady state error, let’s consider a few examples from different domains:

Industrial Automation

In industrial automation, steady state error can affect the precision of manufacturing processes. For instance, in a temperature control system for a chemical reactor, a steady state error would mean that the reactor temperature does not reach the desired setpoint, leading to suboptimal chemical reactions.

Aerospace

In aerospace, steady state error is critical in flight control systems. For example, in an autopilot system, a steady state error would result in the aircraft not maintaining the desired altitude or heading, which could have serious safety implications.

Robotics

In robotics, steady state error can affect the accuracy of robotic arms and other automated systems. For instance, in a pick-and-place robot, a steady state error would mean that the robot does not place objects in the exact desired location, leading to assembly errors.

Conclusion

Understanding and mitigating steady state error is essential for designing effective control systems. By recognizing the causes of steady state error and employing appropriate strategies to reduce it, engineers can ensure that their systems operate with the required precision and accuracy. Whether through increasing system type, proper gain tuning, feedforward control, or advanced control techniques, the goal is to minimize the residual error and enhance system performance. This knowledge is invaluable in various fields, from industrial automation to aerospace and robotics, where precision and reliability are paramount.

Related Terms:

  • steady state error formula
  • define steady state error
  • steady state error matlab
  • steady state error pdf
  • steady state error equation
  • steady state error from graph
Facebook Twitter WhatsApp
Related Posts
Don't Miss