Learning

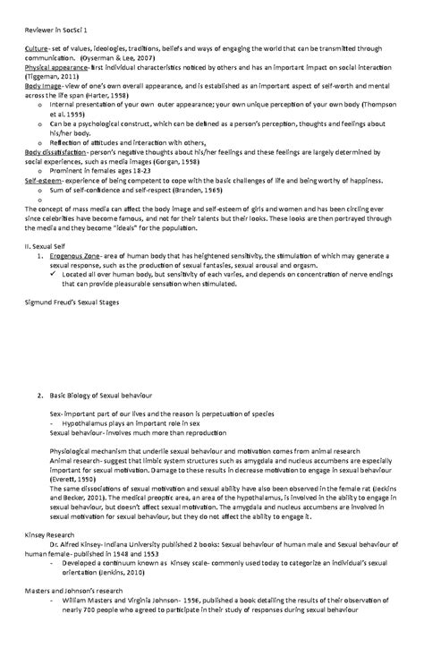
Soc Sci 1

Soc Sci 1
Soc Sci 1

Embarking on a journey through the intricate world of social sciences can be both enlightening and challenging. For students enrolled in Soc Sci 1, the foundational course in social sciences, understanding the core concepts and methodologies is crucial. This course lays the groundwork for a deeper exploration into various social science disciplines, including sociology, anthropology, psychology, and political science. By the end of this course, students will have a comprehensive understanding of the key theories, research methods, and ethical considerations that shape the field of social sciences.

Understanding the Scope of Soc Sci 1

Soc Sci 1 is designed to introduce students to the broad spectrum of social sciences. It covers a wide range of topics that are essential for understanding human behavior, social structures, and cultural dynamics. The course typically includes modules on:

  • Introduction to Sociology
  • Fundamentals of Anthropology
  • Basic Principles of Psychology
  • Foundations of Political Science

Each of these modules provides a unique perspective on how societies function and how individuals interact within these societies. By exploring these disciplines, students gain a holistic view of the social sciences, which is invaluable for further academic pursuits and professional careers.

Key Concepts in Soc Sci 1

One of the primary goals of Soc Sci 1 is to familiarize students with key concepts that are central to the social sciences. These concepts include:

  • Social Structure: Understanding the organized patterns of social relationships and institutions that shape society.
  • Culture: Exploring the shared beliefs, values, and practices that define a group or society.
  • Socialization: The process through which individuals learn the norms, values, and behaviors of their society.
  • Social Inequality: Examining the disparities in power, wealth, and status within societies.
  • Research Methods: Learning the various techniques used to collect and analyze data in social science research.

These concepts form the backbone of the social sciences and are essential for understanding the complexities of human societies. Students will delve into each of these areas, gaining a deeper appreciation for the intricacies of social interactions and structures.

Research Methods in Soc Sci 1

Research methods are a critical component of Soc Sci 1. Students are introduced to various research techniques that are used to gather and analyze data in the social sciences. These methods include:

  • Surveys: Collecting data through questionnaires or interviews to understand attitudes, behaviors, and opinions.
  • Experiments: Conducting controlled studies to test hypotheses and establish causal relationships.
  • Ethnography: Immersing oneself in a community or culture to gain an in-depth understanding of its practices and beliefs.
  • Content Analysis: Analyzing textual or visual data to identify patterns and themes.

Each of these methods has its own strengths and limitations, and students learn how to choose the appropriate method for their research questions. They also gain hands-on experience in designing and conducting their own research projects, which is invaluable for developing critical thinking and analytical skills.

📝 Note: It is important for students to understand the ethical considerations involved in social science research, including informed consent, confidentiality, and the potential impact of their research on participants.

Ethical Considerations in Soc Sci 1

Ethics play a crucial role in social science research. Students in Soc Sci 1 are taught the importance of conducting research ethically to ensure the well-being and rights of participants. Key ethical considerations include:

  • Informed Consent: Obtaining voluntary and informed agreement from participants before collecting data.
  • Confidentiality: Protecting the privacy and identity of participants by keeping their information confidential.
  • Debriefing: Providing participants with information about the research and its findings after the study is completed.
  • Minimizing Harm: Ensuring that the research does not cause physical, psychological, or social harm to participants.

By adhering to these ethical principles, students can conduct research that is not only scientifically valid but also socially responsible. This ethical framework is essential for building trust with participants and ensuring the integrity of the research process.

Applications of Soc Sci 1

The knowledge and skills gained in Soc Sci 1 have wide-ranging applications in various fields. Students can apply their understanding of social sciences to:

  • Public Policy: Developing and evaluating policies that address social issues such as poverty, education, and healthcare.
  • Social Work: Providing support and services to individuals and communities in need.
  • Market Research: Conducting studies to understand consumer behavior and market trends.
  • Human Resources: Managing employee relations, diversity, and organizational culture.

These applications highlight the versatility of a social science education and the numerous career opportunities available to graduates. By mastering the concepts and methods taught in Soc Sci 1, students are well-prepared to make meaningful contributions to society.

Challenges and Opportunities in Soc Sci 1

While Soc Sci 1 offers a wealth of knowledge and skills, it also presents challenges that students must navigate. Some of the common challenges include:

  • Complexity of Social Issues: Understanding the multifaceted nature of social problems requires critical thinking and analytical skills.
  • Ethical Dilemmas: Balancing the need for accurate data with the ethical treatment of participants can be challenging.
  • Data Interpretation: Analyzing and interpreting data accurately requires a solid understanding of research methods and statistical analysis.

Despite these challenges, Soc Sci 1 also offers numerous opportunities for growth and development. Students have the chance to:

  • Develop critical thinking and analytical skills.
  • Gain hands-on experience in research methods.
  • Explore diverse social science disciplines.
  • Contribute to meaningful research projects.

By embracing these opportunities, students can enhance their academic and professional prospects, making a positive impact on society.

Case Studies in Soc Sci 1

Case studies are an integral part of Soc Sci 1, providing real-world examples that illustrate key concepts and research methods. Some notable case studies include:

Case Study Discipline Key Concepts
The Hawthorne Effect Psychology Behavioral changes due to observation
The Milgram Experiment Psychology Obedience to authority
The Stanford Prison Experiment Psychology Role of power and authority
The Tuskegee Syphilis Study Sociology Ethical considerations in research

These case studies offer valuable insights into the complexities of human behavior and social interactions. By analyzing these examples, students can better understand the practical applications of social science theories and methods.

📚 Note: It is essential for students to critically evaluate case studies, considering both their strengths and limitations. This critical analysis helps in developing a nuanced understanding of social science research.

Future Directions in Soc Sci 1

As the field of social sciences continues to evolve, Soc Sci 1 will also adapt to incorporate new theories, methods, and technologies. Some future directions in Soc Sci 1 include:

  • Interdisciplinary Approaches: Integrating insights from multiple disciplines to address complex social issues.
  • Digital Research Methods: Utilizing digital tools and platforms for data collection and analysis.
  • Global Perspectives: Incorporating diverse cultural and global perspectives to enhance understanding of social phenomena.
  • Ethical Innovations: Developing new ethical frameworks to address emerging challenges in social science research.

These future directions highlight the dynamic nature of Soc Sci 1 and its potential to contribute to a deeper understanding of human societies. By staying abreast of these developments, students can position themselves at the forefront of social science research and practice.

In conclusion, Soc Sci 1 is a foundational course that provides students with a comprehensive understanding of the social sciences. Through its exploration of key concepts, research methods, and ethical considerations, the course equips students with the knowledge and skills necessary to navigate the complexities of human societies. By embracing the challenges and opportunities presented in Soc Sci 1, students can make meaningful contributions to the field and society as a whole. The journey through Soc Sci 1 is not just an academic endeavor but a transformative experience that shapes students’ perspectives and prepares them for a future in the social sciences.

Related Terms:

  • soc science 1 course
  • soc science study material
  • soc science 1 summary
  • social science up crs pdf
  • soc science 1
  • soc sci 103
Facebook Twitter WhatsApp
Related Posts
Don't Miss