Learning

Seller Financing Contract

Seller Financing Contract
Seller Financing Contract

Seller financing is a creative and flexible alternative to traditional bank loans, offering a mutually beneficial arrangement for both buyers and sellers. This method allows sellers to finance the purchase of their property directly, providing buyers with more accessible financing options. One of the key documents in this process is the Seller Financing Contract. This contract outlines the terms and conditions of the agreement, ensuring that both parties are protected and that the transaction proceeds smoothly.

Understanding Seller Financing

Seller financing, also known as owner financing, involves the property owner acting as the lender. Instead of the buyer obtaining a loan from a bank, the seller provides the financing. This arrangement can be particularly advantageous in situations where traditional financing is difficult to secure, such as when the buyer has poor credit or when the property is unique and hard to appraise.

There are several types of seller financing arrangements, including:

  • Land Contracts
  • Contract for Deed
  • Mortgage
  • Deed of Trust

Each of these arrangements has its own set of benefits and drawbacks, and the choice depends on the specific needs and circumstances of the buyer and seller.

The Importance of a Seller Financing Contract

A well-crafted Seller Financing Contract is essential for protecting both the buyer and the seller. This legal document outlines the terms of the agreement, including the purchase price, interest rate, payment schedule, and default provisions. It ensures that both parties understand their obligations and rights, reducing the risk of disputes and misunderstandings.

Key elements of a Seller Financing Contract include:

  • Purchase Price: The agreed-upon price for the property.
  • Interest Rate: The rate at which interest will be charged on the loan.
  • Payment Schedule: The timeline for repaying the loan, including the frequency and amount of payments.
  • Default Provisions: The actions that will be taken if the buyer fails to make payments.
  • Title Transfer: The conditions under which the title to the property will be transferred to the buyer.

These elements ensure that the contract is comprehensive and covers all necessary aspects of the transaction.

Creating a Seller Financing Contract

Creating a Seller Financing Contract involves several steps. It is crucial to consult with a legal professional to ensure that the contract is legally binding and protects both parties' interests. Here is a general outline of the process:

Step 1: Gather Necessary Information

Before drafting the contract, gather all relevant information, including:

  • The purchase price of the property
  • The agreed-upon interest rate
  • The payment schedule
  • Any additional terms or conditions

Step 2: Draft the Contract

The contract should include the following sections:

  • Introduction: Identify the parties involved and the purpose of the contract.
  • Purchase Price and Terms: Specify the purchase price and the terms of the sale.
  • Interest Rate and Payment Schedule: Detail the interest rate and the payment schedule.
  • Default Provisions: Outline the actions to be taken in case of default.
  • Title Transfer: Describe the conditions for transferring the title.
  • Signatures: Include spaces for both parties to sign and date the contract.

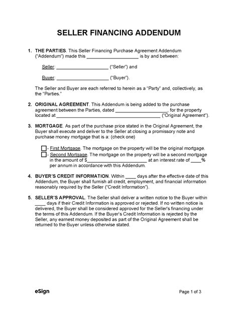
Here is an example of what a Seller Financing Contract might look like:

Section Details
Introduction This contract is made and entered into by and between [Buyer's Name] and [Seller's Name].
Purchase Price and Terms The purchase price for the property is $XXX,XXX.
Interest Rate and Payment Schedule The interest rate is X% per annum, with payments due on the first of each month.
Default Provisions In the event of default, the seller has the right to foreclose on the property.
Title Transfer The title will be transferred to the buyer upon full payment of the purchase price.
Signatures _________________________ _________________________
Buyer's Name (Print) Seller's Name (Print)
_________________________ _________________________
Buyer's Signature Seller's Signature
_________________________ _________________________
Date Date

πŸ“ Note: This is a simplified example. A real Seller Financing Contract should be drafted by a legal professional to ensure it is comprehensive and legally binding.

Step 3: Review and Sign

Once the contract is drafted, both parties should review it carefully to ensure they understand all the terms and conditions. If both parties are satisfied, they should sign the contract in the presence of a notary public to make it legally binding.

Benefits of Seller Financing

Seller financing offers several benefits for both buyers and sellers. For buyers, it provides a more accessible financing option, especially for those with poor credit or unique property needs. For sellers, it can be a way to attract more buyers and potentially sell the property faster. Additionally, seller financing can provide a steady stream of income through interest payments.

Some of the key benefits include:

  • Flexibility: Seller financing allows for more flexible terms and conditions compared to traditional bank loans.
  • Speed: The process can be faster than obtaining a traditional loan, as it does not involve the same level of bureaucracy.
  • Accessibility: It provides financing options for buyers who may not qualify for traditional loans.
  • Income: Sellers can earn interest on the loan, providing a steady income stream.

Risks and Considerations

While seller financing can be beneficial, it also comes with risks and considerations. For sellers, there is the risk of default, where the buyer fails to make payments. This can lead to legal complications and the need to foreclose on the property. For buyers, there is the risk of losing the property if they default on the loan.

To mitigate these risks, it is essential to:

  • Conduct Thorough Due Diligence: Both parties should conduct thorough due diligence to ensure they understand the risks and benefits.
  • Consult Legal Professionals: It is crucial to consult with legal professionals to draft a comprehensive and legally binding Seller Financing Contract.
  • Include Default Provisions: The contract should include clear default provisions to protect both parties in case of non-payment.

By taking these steps, both parties can minimize the risks associated with seller financing.

Conclusion

Seller financing is a valuable option for both buyers and sellers, offering flexibility, speed, and accessibility. The Seller Financing Contract is a critical document that outlines the terms and conditions of the agreement, ensuring that both parties are protected. By understanding the benefits, risks, and considerations of seller financing, and by drafting a comprehensive contract, both buyers and sellers can navigate this process successfully. Whether you are a buyer looking for alternative financing options or a seller looking to attract more buyers, seller financing can be a mutually beneficial arrangement.

Related Terms:

  • seller financing contract example
  • seller financing contract template
  • zillow seller financing
  • owner finance contract
  • free seller financing contract
  • seller financing agreement form
Facebook Twitter WhatsApp
Related Posts
Don't Miss