Learning

Reynolds Transport Theorem

Reynolds Transport Theorem
Reynolds Transport Theorem

Understanding the principles of fluid dynamics is crucial for engineers and scientists working in various fields, from aerospace to civil engineering. One of the fundamental concepts in this area is the Reynolds Transport Theorem, which provides a powerful tool for analyzing the behavior of fluid flows. This theorem bridges the gap between the Lagrangian and Eulerian descriptions of fluid motion, allowing for a comprehensive understanding of how quantities like mass, momentum, and energy change within a control volume.

Introduction to Reynolds Transport Theorem

The Reynolds Transport Theorem is named after Osborne Reynolds, a pioneering figure in fluid dynamics. The theorem is essential for deriving the conservation equations in fluid mechanics, such as the continuity equation, momentum equation, and energy equation. It allows us to transform the Lagrangian description, which follows individual fluid particles, into the Eulerian description, which focuses on fixed points in space.

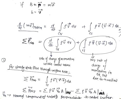
Mathematical Formulation

The Reynolds Transport Theorem can be expressed mathematically as follows:

๐Ÿ“ Note: The theorem is typically written in integral form for a control volume V(t) with a surface S(t).

Reynolds Transport Theorem Diagram

The theorem states that the rate of change of an extensive property B (such as mass, momentum, or energy) within a control volume V(t) is given by:

Where:

  • ฯ is the density of the fluid.
  • b is the intensive property per unit mass.
  • v is the velocity of the fluid.
  • v_s is the velocity of the surface S(t).
  • n is the outward unit normal to the surface S(t).

The left-hand side of the equation represents the material derivative of the extensive property B, which accounts for both the local change within the control volume and the change due to the motion of the control volume itself. The right-hand side consists of two terms: the first term represents the local rate of change within the control volume, and the second term represents the net flux of the property through the control surface.

Applications of Reynolds Transport Theorem

The Reynolds Transport Theorem has wide-ranging applications in various fields of engineering and science. Some of the key areas where this theorem is applied include:

  • Fluid Mechanics: The theorem is used to derive the fundamental equations of fluid dynamics, such as the continuity equation, Navier-Stokes equations, and energy equation.
  • Aerospace Engineering: In the design and analysis of aircraft and spacecraft, the theorem helps in understanding the flow of air around wings and other aerodynamic surfaces.
  • Civil Engineering: It is used in the design of hydraulic structures, such as dams, pipelines, and water treatment facilities, to analyze the flow of water and other fluids.
  • Chemical Engineering: The theorem is applied in the design and operation of chemical reactors, where it helps in understanding the transport of mass, momentum, and energy within the reactor.
  • Environmental Engineering: It is used to model the transport of pollutants in air and water, helping in the development of strategies for environmental protection and remediation.

Derivation of Conservation Equations

The Reynolds Transport Theorem is instrumental in deriving the conservation equations for mass, momentum, and energy. Let's briefly outline the derivation of these equations.

Continuity Equation

The continuity equation expresses the conservation of mass. For an incompressible fluid, the continuity equation can be derived by setting b = 1 in the Reynolds Transport Theorem:

For an incompressible fluid, ฯ is constant, and the equation simplifies to:

This leads to the continuity equation in differential form:

Momentum Equation

The momentum equation expresses the conservation of momentum. By setting b = v in the Reynolds Transport Theorem, we get:

Applying the divergence theorem and simplifying, we obtain the momentum equation in differential form:

Where f is the body force per unit mass, and ฯƒ is the stress tensor.

Energy Equation

The energy equation expresses the conservation of energy. By setting b = e (specific energy) in the Reynolds Transport Theorem, we get:

Applying the divergence theorem and simplifying, we obtain the energy equation in differential form:

Where q is the heat flux, k is the thermal conductivity, T is the temperature, and ฯƒ : โˆ‡v represents the viscous dissipation.

Special Cases and Simplifications

The Reynolds Transport Theorem can be simplified under certain conditions, making it easier to apply in specific scenarios. Some of these special cases include:

  • Steady Flow: For steady flow, the time derivative terms vanish, simplifying the theorem.
  • Incompressible Flow: For incompressible fluids, the density is constant, which simplifies the continuity equation.
  • Uniform Flow: For uniform flow, the velocity field is constant, further simplifying the momentum and energy equations.

These simplifications allow for more straightforward analysis and solution of fluid dynamics problems.

Numerical Implementation

In practical applications, the Reynolds Transport Theorem is often implemented numerically using computational fluid dynamics (CFD) software. These tools discretize the governing equations and solve them iteratively to obtain the flow field. Some of the key steps in numerical implementation include:

  • Discretization: The control volume is divided into smaller cells, and the governing equations are discretized using finite volume, finite element, or finite difference methods.
  • Initial and Boundary Conditions: Appropriate initial and boundary conditions are specified to solve the discretized equations.
  • Iterative Solution: The discretized equations are solved iteratively using methods such as the Gauss-Seidel method, Successive Over-Relaxation (SOR), or multigrid methods.
  • Convergence Criteria: The solution is iterated until it converges to a specified tolerance level.

Numerical implementation allows for the analysis of complex fluid flows that are difficult or impossible to solve analytically.

Challenges and Limitations

While the Reynolds Transport Theorem is a powerful tool, it also has its challenges and limitations. Some of these include:

  • Complex Geometry: Analyzing flows in complex geometries can be challenging and may require sophisticated numerical techniques.
  • Turbulence: Turbulent flows are inherently unpredictable and require advanced modeling techniques, such as Reynolds-Averaged Navier-Stokes (RANS) or Large Eddy Simulation (LES).
  • Multiphase Flow: Flows involving multiple phases (e.g., gas-liquid, solid-liquid) are complex and require specialized models.
  • Computational Resources: Numerical simulations can be computationally intensive, requiring significant resources for large-scale problems.

Despite these challenges, the Reynolds Transport Theorem remains a cornerstone of fluid dynamics, providing a robust framework for analyzing and understanding fluid flows.

๐Ÿ“ Note: Advanced topics in fluid dynamics, such as turbulence modeling and multiphase flow, often build upon the principles established by the Reynolds Transport Theorem.

In summary, the Reynolds Transport Theorem is a fundamental concept in fluid dynamics that bridges the gap between Lagrangian and Eulerian descriptions of fluid motion. It provides a powerful tool for deriving the conservation equations and analyzing the behavior of fluid flows in various engineering and scientific applications. By understanding and applying this theorem, engineers and scientists can gain valuable insights into the complex world of fluid dynamics, leading to innovative solutions and advancements in technology.

Related Terms:

  • reynolds transport theorem proof
  • reynolds transport theorem momentum
  • reynolds transport theorem differential form
  • reynolds transport theorem equation
  • reynolds transport theorem ppt
  • reynolds transport theorem examples
Facebook Twitter WhatsApp
Related Posts
Don't Miss