Learning

Range Rule Of Thumb

Range Rule Of Thumb
Range Rule Of Thumb

Understanding the intricacies of data analysis and statistical methods is crucial for making informed decisions in various fields. One fundamental concept that often comes up in data analysis is the Range Rule of Thumb. This rule provides a quick and easy way to estimate the standard deviation of a dataset, which is a measure of the amount of variation or dispersion in a set of values. By mastering this rule, analysts can gain valuable insights into their data without delving into complex statistical calculations.

What is the Range Rule of Thumb?

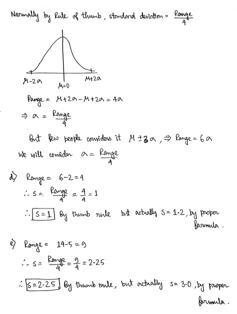
The Range Rule of Thumb is a simple heuristic used to estimate the standard deviation of a dataset. The range of a dataset is the difference between the maximum and minimum values. The rule states that the standard deviation is approximately one-quarter of the range. This estimation is particularly useful when you need a quick approximation and do not have the time or resources to calculate the exact standard deviation.

Why is the Range Rule of Thumb Important?

The Range Rule of Thumb is important for several reasons:

  • Simplicity: It provides a straightforward method to estimate standard deviation without complex calculations.
  • Speed: It allows for quick approximations, which is beneficial in time-sensitive situations.
  • Practicality: It is useful in scenarios where detailed statistical analysis is not feasible.

How to Apply the Range Rule of Thumb

Applying the Range Rule of Thumb involves a few simple steps:

  1. Identify the Range: Determine the maximum and minimum values in your dataset. The range is the difference between these two values.
  2. Calculate the Range: Subtract the minimum value from the maximum value to get the range.
  3. Estimate the Standard Deviation: Divide the range by 4 to get an approximate value for the standard deviation.

For example, consider a dataset with the following values: 10, 15, 20, 25, 30. The maximum value is 30, and the minimum value is 10. The range is 30 - 10 = 20. According to the Range Rule of Thumb, the estimated standard deviation is 20 / 4 = 5.

📝 Note: The Range Rule of Thumb provides an approximation and may not be accurate for all datasets, especially those with outliers or non-normal distributions.

Limitations of the Range Rule of Thumb

While the Range Rule of Thumb is a useful tool, it has several limitations:

  • Accuracy: It is an approximation and may not be precise for all datasets.
  • Outliers: The presence of outliers can significantly affect the range, leading to inaccurate estimates.
  • Distribution: It assumes a normal distribution, which may not always be the case.

When to Use the Range Rule of Thumb

The Range Rule of Thumb is most effective in the following scenarios:

  • Quick Estimations: When you need a quick estimate of the standard deviation.
  • Small Datasets: For small datasets where calculating the exact standard deviation is straightforward.
  • Preliminary Analysis: During the initial stages of data analysis to get a rough idea of the data’s variability.

Alternative Methods for Estimating Standard Deviation

While the Range Rule of Thumb is convenient, there are other methods for estimating standard deviation that may provide more accurate results:

  • Sample Standard Deviation: Calculate the standard deviation using the formula for sample standard deviation, which involves more detailed calculations but provides a more accurate estimate.
  • Interquartile Range (IQR): Use the IQR, which is the range between the first and third quartiles, to estimate the standard deviation. This method is less affected by outliers.

Comparing the Range Rule of Thumb with Other Methods

To understand the effectiveness of the Range Rule of Thumb, it is helpful to compare it with other methods. Below is a table comparing the Range Rule of Thumb with the Sample Standard Deviation and Interquartile Range (IQR) methods:

Method Calculation Accuracy Sensitivity to Outliers
Range Rule of Thumb Range / 4 Approximate High
Sample Standard Deviation √[(∑(x_i - x̄)²) / (n - 1)] High Moderate
Interquartile Range (IQR) IQR / 1.35 Moderate Low

As shown in the table, the Range Rule of Thumb is the simplest but least accurate method. The Sample Standard Deviation provides the highest accuracy but requires more complex calculations. The IQR method offers a balance between accuracy and simplicity, especially when dealing with datasets that may contain outliers.

📝 Note: The choice of method depends on the specific requirements of your analysis and the characteristics of your dataset.

Real-World Applications of the Range Rule of Thumb

The Range Rule of Thumb has practical applications in various fields, including:

  • Quality Control: In manufacturing, it can be used to quickly assess the variability of product measurements.
  • Financial Analysis: It can help in estimating the volatility of stock prices or other financial instruments.
  • Healthcare: It can be used to assess the variability of patient data, such as blood pressure readings.

For example, in a manufacturing setting, quality control engineers might use the Range Rule of Thumb to quickly estimate the variability in the dimensions of produced parts. This allows them to identify potential issues with the manufacturing process and take corrective actions promptly.

Conclusion

The Range Rule of Thumb is a valuable tool for estimating the standard deviation of a dataset quickly and easily. While it has limitations and may not be suitable for all datasets, it provides a useful approximation in many scenarios. By understanding when and how to apply this rule, analysts can gain valuable insights into their data and make informed decisions. Whether you are working in quality control, financial analysis, or healthcare, the Range Rule of Thumb can be a handy addition to your analytical toolkit.

Related Terms:

  • range rule of thumb equation
  • range rule of thumb calculator
  • range rule of thumb examples
  • range rule of thumb formula
  • range rule of thumb calculation
  • range rule of thumb statistics
Facebook Twitter WhatsApp
Related Posts
Don't Miss