Learning

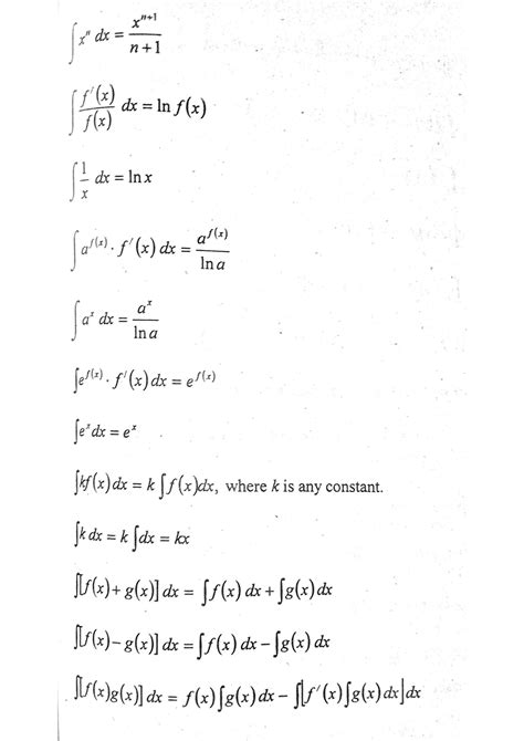
Properties Of An Integral

Properties Of An Integral
Properties Of An Integral

Integrals are fundamental concepts in calculus that allow us to accumulate quantities and find areas under curves. Understanding the properties of an integral is crucial for solving complex problems and applying calculus to real-world scenarios. This post will delve into the various properties of integrals, their applications, and how they can be used to solve mathematical problems.

Basic Properties of Integrals

Integrals have several basic properties that are essential for their manipulation and application. These properties include linearity, additivity, and the constant multiple rule. Let's explore each of these properties in detail.

Linearity of Integrals

The linearity property of integrals states that the integral of a sum of functions is equal to the sum of their integrals. Mathematically, this can be expressed as:

∫(f(x) + g(x)) dx = ∫f(x) dx + ∫g(x) dx

This property allows us to break down complex integrals into simpler parts, making them easier to solve. For example, if we have an integral of the form ∫(x² + 3x + 2) dx, we can use the linearity property to split it into three separate integrals:

∫(x² + 3x + 2) dx = ∫x² dx + ∫3x dx + ∫2 dx

Each of these integrals can be solved individually and then summed to find the final result.

Additivity of Integrals

The additivity property of integrals allows us to split the interval of integration into smaller subintervals. This property is particularly useful when dealing with piecewise functions or when the integrand changes behavior over different intervals. Mathematically, this can be expressed as:

∫ from a to b f(x) dx = ∫ from a to c f(x) dx + ∫ from c to b f(x) dx

where a ≤ c ≤ b. This property is useful for breaking down complex integrals into more manageable parts. For example, if we have an integral of the form ∫ from 0 to 4 (x² + 2x) dx, we can split it into two integrals:

∫ from 0 to 4 (x² + 2x) dx = ∫ from 0 to 2 (x² + 2x) dx + ∫ from 2 to 4 (x² + 2x) dx

Each of these integrals can be solved separately and then summed to find the final result.

Constant Multiple Rule

The constant multiple rule states that a constant factor can be taken out of the integral. Mathematically, this can be expressed as:

∫c * f(x) dx = c * ∫f(x) dx

where c is a constant. This property simplifies the integration process by allowing us to factor out constants before integrating. For example, if we have an integral of the form ∫5x² dx, we can use the constant multiple rule to simplify it:

∫5x² dx = 5 * ∫x² dx

We can then solve the integral ∫x² dx and multiply the result by 5 to find the final answer.

Advanced Properties of Integrals

In addition to the basic properties, integrals have several advanced properties that are useful for solving more complex problems. These properties include the integral of an even function, the integral of an odd function, and the integral of a periodic function.

Integral of an Even Function

An even function is a function that satisfies the condition f(-x) = f(x). The integral of an even function over a symmetric interval around zero is twice the integral over the positive half of the interval. Mathematically, this can be expressed as:

∫ from -a to a f(x) dx = 2 * ∫ from 0 to a f(x) dx

This property is useful for simplifying the integration of even functions. For example, if we have an integral of the form ∫ from -π to π cos(x) dx, we can use the property of even functions to simplify it:

∫ from -π to π cos(x) dx = 2 * ∫ from 0 to π cos(x) dx

We can then solve the integral ∫ from 0 to π cos(x) dx and multiply the result by 2 to find the final answer.

Integral of an Odd Function

An odd function is a function that satisfies the condition f(-x) = -f(x). The integral of an odd function over a symmetric interval around zero is zero. Mathematically, this can be expressed as:

∫ from -a to a f(x) dx = 0

This property is useful for simplifying the integration of odd functions. For example, if we have an integral of the form ∫ from -π to π sin(x) dx, we can use the property of odd functions to simplify it:

∫ from -π to π sin(x) dx = 0

This result is immediate and does not require further calculation.

Integral of a Periodic Function

A periodic function is a function that repeats its values in regular intervals. The integral of a periodic function over one period is equal to the integral over any interval of the same length. Mathematically, this can be expressed as:

∫ from a to a+T f(x) dx = ∫ from b to b+T f(x) dx

where T is the period of the function. This property is useful for simplifying the integration of periodic functions. For example, if we have an integral of the form ∫ from 0 to 2π sin(x) dx, we can use the property of periodic functions to simplify it:

∫ from 0 to 2π sin(x) dx = ∫ from π to 3π sin(x) dx

We can then solve the integral ∫ from π to 3π sin(x) dx to find the final answer.

Applications of Integral Properties

The properties of an integral have numerous applications in mathematics, physics, engineering, and other fields. Understanding these properties allows us to solve complex problems and gain insights into various phenomena. Some of the key applications include:

  • Area Calculation: Integrals are used to calculate the area under a curve, which is fundamental in geometry and calculus.
  • Volume Calculation: Integrals are used to calculate the volume of three-dimensional objects by integrating cross-sectional areas.
  • Center of Mass: Integrals are used to find the center of mass of an object, which is crucial in physics and engineering.
  • Work and Energy: Integrals are used to calculate work done by a force and the energy of a system.
  • Probability: Integrals are used in probability theory to calculate probabilities and expected values.

These applications highlight the versatility and importance of integrals in various fields. By understanding the properties of an integral, we can effectively apply calculus to solve real-world problems.

Examples of Integral Properties in Action

Let's explore some examples to illustrate how the properties of an integral can be applied to solve mathematical problems.

Example 1: Linearity Property

Consider the integral ∫(3x² + 2x + 1) dx. We can use the linearity property to split it into three separate integrals:

∫(3x² + 2x + 1) dx = ∫3x² dx + ∫2x dx + ∫1 dx

We can then solve each integral individually:

∫3x² dx = 3 * ∫x² dx = 3 * (x³/3) = x³

∫2x dx = 2 * ∫x dx = 2 * (x²/2) = x²

∫1 dx = x

Summing these results, we get:

∫(3x² + 2x + 1) dx = x³ + x² + x + C

where C is the constant of integration.

Example 2: Additivity Property

Consider the integral ∫ from 0 to 4 (x² + 2x) dx. We can use the additivity property to split it into two integrals:

∫ from 0 to 4 (x² + 2x) dx = ∫ from 0 to 2 (x² + 2x) dx + ∫ from 2 to 4 (x² + 2x) dx

We can then solve each integral individually:

∫ from 0 to 2 (x² + 2x) dx = [(x³/3) + (x²)] from 0 to 2 = (8/3 + 4) - (0 + 0) = 20/3

∫ from 2 to 4 (x² + 2x) dx = [(x³/3) + (x²)] from 2 to 4 = (64/3 + 16) - (8/3 + 4) = 64/3

Summing these results, we get:

∫ from 0 to 4 (x² + 2x) dx = 20/3 + 64/3 = 84/3 = 28

Example 3: Constant Multiple Rule

Consider the integral ∫5x³ dx. We can use the constant multiple rule to simplify it:

∫5x³ dx = 5 * ∫x³ dx = 5 * (x⁴/4) = (5/4)x⁴

This example illustrates how the constant multiple rule can simplify the integration process.

📝 Note: When applying the properties of an integral, it is important to ensure that the functions involved are integrable over the given intervals. Non-integrable functions may require special techniques or approximations.

Special Cases and Considerations

While the properties of an integral are generally applicable, there are special cases and considerations that need to be addressed. These include improper integrals, integrals involving discontinuous functions, and integrals over infinite intervals.

Improper Integrals

An improper integral is an integral where the integrand is undefined at one or more points within the interval of integration, or where the interval of integration is infinite. Improper integrals require special techniques to evaluate, such as taking limits. For example, consider the integral ∫ from 0 to ∞ (1/x²) dx. This is an improper integral because the interval of integration is infinite. We can evaluate it by taking the limit:

∫ from 0 to ∞ (1/x²) dx = lim(b→∞) ∫ from 0 to b (1/x²) dx = lim(b→∞) [-1/x] from 0 to b = lim(b→∞) [1/0 - 1/b] = 1

This example illustrates how improper integrals can be evaluated using limits.

Integrals Involving Discontinuous Functions

Integrals involving discontinuous functions require special consideration. If the function is discontinuous at a point within the interval of integration, the integral can be split into two or more integrals, each evaluated over a subinterval where the function is continuous. For example, consider the integral ∫ from -1 to 1 (1/x) dx. The function 1/x is discontinuous at x = 0. We can split the integral into two parts:

∫ from -1 to 1 (1/x) dx = ∫ from -1 to 0 (1/x) dx + ∫ from 0 to 1 (1/x) dx

Each of these integrals can be evaluated separately, and the results can be summed to find the final answer.

Integrals Over Infinite Intervals

Integrals over infinite intervals require special techniques to evaluate. These integrals can be converted into improper integrals by taking limits. For example, consider the integral ∫ from 0 to ∞ e⁻x dx. This is an improper integral because the interval of integration is infinite. We can evaluate it by taking the limit:

∫ from 0 to ∞ e⁻x dx = lim(b→∞) ∫ from 0 to b e⁻x dx = lim(b→∞) [-e⁻x] from 0 to b = lim(b→∞) [1 - e⁻b] = 1

This example illustrates how integrals over infinite intervals can be evaluated using limits.

Understanding these special cases and considerations is crucial for effectively applying the properties of an integral to solve complex problems.

Integrals are a powerful tool in calculus that allow us to accumulate quantities and find areas under curves. The properties of an integral provide a framework for manipulating and applying integrals to solve a wide range of problems. By understanding these properties, we can gain insights into various phenomena and apply calculus to real-world scenarios. Whether calculating areas, volumes, centers of mass, work, energy, or probabilities, integrals play a crucial role in mathematics, physics, engineering, and other fields. Mastering the properties of an integral is essential for anyone studying calculus or applying it to practical problems.

Related Terms:

  • class 12 definite integration properties
  • properties of integral calculus
  • applying properties of definite integrals
  • integral basic properties
  • comparison properties of integrals
  • property of definite integrals
Facebook Twitter WhatsApp
Related Posts
Don't Miss