Learning

Propagation Of Uncertainty

Propagation Of Uncertainty
Propagation Of Uncertainty

In the realm of scientific research and engineering, the concept of propagation of uncertainty is crucial for understanding and quantifying the reliability of measurements and calculations. This principle helps scientists and engineers assess how errors in input measurements affect the final results, ensuring that conclusions drawn from data are robust and trustworthy.

Understanding Uncertainty in Measurements

Uncertainty in measurements arises from various sources, including instrumental errors, environmental factors, and human errors. These uncertainties can significantly impact the accuracy of experimental results and theoretical models. Understanding the sources of uncertainty is the first step in applying the propagation of uncertainty effectively.

Types of Uncertainty

There are several types of uncertainty that can affect measurements:

  • Systematic Uncertainty: This type of uncertainty is consistent and repeatable, often due to flaws in the measurement system or calibration errors.
  • Random Uncertainty: This uncertainty varies unpredictably and is often due to environmental factors or random fluctuations in the measurement process.
  • Gross Errors: These are significant errors that can occur due to human mistakes, such as misreading a scale or incorrect data entry.

The Importance of Propagation of Uncertainty

The propagation of uncertainty is essential for several reasons:

  • It helps in assessing the reliability of experimental data.
  • It ensures that the final results are presented with an appropriate level of confidence.
  • It aids in identifying the most significant sources of error, allowing for targeted improvements in measurement techniques.

Mathematical Framework for Propagation of Uncertainty

The propagation of uncertainty can be mathematically modeled using various methods, depending on the complexity of the measurement process. The most common methods include:

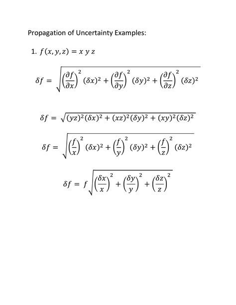
  • Linear Approximation: This method is used when the uncertainties are small compared to the measured values. It involves calculating the partial derivatives of the function with respect to each input variable and then combining these derivatives to estimate the overall uncertainty.
  • Monte Carlo Simulation: This method involves generating a large number of random samples based on the input uncertainties and then calculating the output for each sample. The distribution of the output values provides an estimate of the overall uncertainty.

Linear Approximation Method

The linear approximation method is straightforward and widely used. It involves the following steps:

  1. Identify the function that relates the input variables to the output variable.
  2. Calculate the partial derivatives of the function with respect to each input variable.
  3. Estimate the uncertainties in each input variable.
  4. Combine the partial derivatives and input uncertainties to estimate the overall uncertainty in the output variable.

For example, consider a function f(x, y) where x and y are input variables with uncertainties σx and σy, respectively. The uncertainty in the output variable f can be estimated using the formula:

σf = √[(∂f/∂x)2 * σx2 + (∂f/∂y)2 * σy2]

📝 Note: This formula assumes that the uncertainties in x and y are independent and normally distributed.

Monte Carlo Simulation Method

The Monte Carlo simulation method is more computationally intensive but can handle complex relationships and non-linear functions. It involves the following steps:

  1. Generate a large number of random samples for each input variable based on their respective uncertainties.
  2. Calculate the output variable for each set of input samples.
  3. Analyze the distribution of the output values to estimate the overall uncertainty.

This method is particularly useful when the relationship between input and output variables is non-linear or when the uncertainties are large.

📝 Note: The accuracy of the Monte Carlo simulation depends on the number of samples generated. More samples generally result in a more accurate estimate of the uncertainty.

Practical Applications of Propagation of Uncertainty

The propagation of uncertainty has numerous practical applications across various fields:

  • Physics and Engineering: In experimental physics and engineering, the propagation of uncertainty is used to assess the reliability of measurements and to ensure that experimental results are within acceptable error margins.
  • Chemistry: In analytical chemistry, the propagation of uncertainty helps in determining the accuracy of chemical analyses and in validating experimental methods.
  • Environmental Science: In environmental monitoring, the propagation of uncertainty is used to assess the reliability of data collected from sensors and to ensure that environmental models are accurate.

Case Study: Propagation of Uncertainty in Temperature Measurement

Consider a scenario where the temperature of a system is measured using a thermocouple. The thermocouple has an uncertainty of ±0.5°C, and the ambient temperature has an uncertainty of ±0.2°C. The true temperature of the system can be calculated using the formula:

Tsystem = Tthermocouple - Tambient

To estimate the uncertainty in Tsystem, we can use the linear approximation method:

σTsystem = √[(∂Tsystem/∂Tthermocouple)2 * σTthermocouple2 + (∂Tsystem/∂Tambient)2 * σTambient2]

Given that ∂Tsystem/∂Tthermocouple = 1 and ∂Tsystem/∂Tambient = -1, the uncertainty in Tsystem is:

σTsystem = √[(1)2 * (0.5)2 + (-1)2 * (0.2)2] = √[0.25 + 0.04] = √0.29 ≈ 0.54°C

Therefore, the uncertainty in the measured temperature of the system is approximately ±0.54°C.

Common Mistakes in Propagation of Uncertainty

When applying the propagation of uncertainty, it is essential to avoid common mistakes that can lead to inaccurate results:

  • Ignoring Correlated Uncertainties: If the input variables are correlated, their uncertainties should be considered together. Ignoring correlations can lead to an underestimation of the overall uncertainty.
  • Using Incorrect Formulas: Ensure that the correct formulas are used for the specific type of uncertainty and the relationship between input and output variables.
  • Overestimating Uncertainties: Be cautious not to overestimate uncertainties, as this can lead to unnecessary conservatism in the results.

By being aware of these common mistakes, researchers and engineers can ensure that their uncertainty analyses are accurate and reliable.

📝 Note: Always double-check the assumptions and formulas used in the propagation of uncertainty to avoid errors.

Advanced Techniques in Propagation of Uncertainty

For more complex scenarios, advanced techniques in the propagation of uncertainty can be employed:

  • Bayesian Inference: This method uses Bayesian statistics to update the probability distribution of the output variable based on new data or prior knowledge.
  • Sensitivity Analysis: This technique involves systematically varying the input variables to assess their impact on the output variable, providing insights into the most significant sources of uncertainty.

These advanced techniques can provide more detailed and accurate assessments of uncertainty, especially in complex systems.

📝 Note: Advanced techniques often require specialized software and expertise, so it is essential to have the necessary resources and knowledge before applying them.

Conclusion

The propagation of uncertainty is a fundamental concept in scientific research and engineering, enabling researchers to quantify and manage the uncertainties in their measurements and calculations. By understanding the sources of uncertainty and applying appropriate mathematical methods, scientists and engineers can ensure that their results are reliable and trustworthy. Whether using linear approximation, Monte Carlo simulation, or advanced techniques, the propagation of uncertainty plays a crucial role in enhancing the accuracy and credibility of experimental data and theoretical models. By carefully considering the uncertainties in their work, researchers can make more informed decisions and contribute to the advancement of knowledge in their respective fields.

Related Terms:

  • propagation of uncertainty multiplication
  • propagation of uncertainty example
  • propagation of uncertainty equation
  • propagation of uncertainty physics
  • propagation of uncertainty chemistry
  • propagation of error
Facebook Twitter WhatsApp
Related Posts
Don't Miss