Integration is a fundamental concept in calculus that allows us to find areas under curves, volumes of solids, and solutions to differential equations. One powerful technique for evaluating integrals is Partial Fraction Integration. This method is particularly useful when dealing with rational functions, where the integrand is a ratio of polynomials. By decomposing the rational function into simpler fractions, we can integrate each part separately and then combine the results. This approach simplifies complex integrals and makes them more manageable.
Understanding Partial Fraction Integration
Partial Fraction Integration involves breaking down a rational function into a sum of simpler fractions. This process is based on the principle that any rational function can be expressed as a sum of simpler fractions, each with a denominator that is a factor of the original denominator. The key steps in Partial Fraction Integration include:
- Factoring the denominator of the rational function.
- Expressing the rational function as a sum of simpler fractions.
- Solving for the coefficients of the simpler fractions.
- Integrating each simpler fraction separately.
- Combining the results to obtain the final integral.
Steps in Partial Fraction Integration
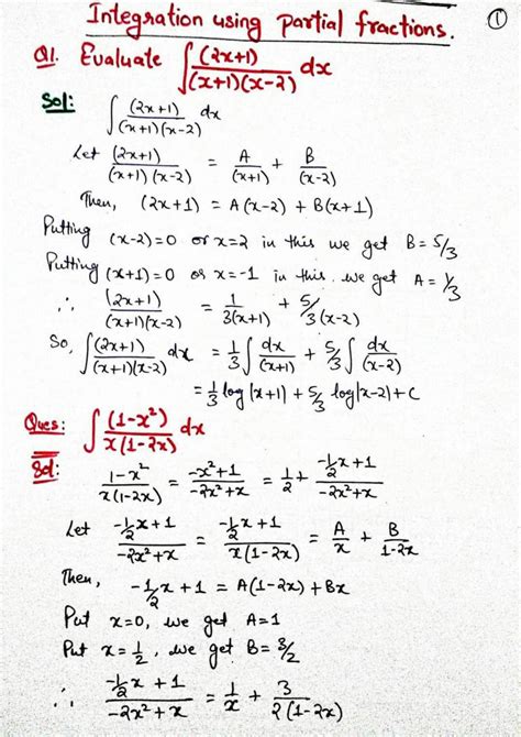
Let's go through the steps of Partial Fraction Integration with an example. Consider the integral:

First, we factor the denominator:

Next, we express the rational function as a sum of simpler fractions:

We then solve for the coefficients A and B by equating the numerators:

After solving for A and B, we integrate each simpler fraction separately:

Finally, we combine the results to obtain the final integral:

π‘ Note: The process of Partial Fraction Integration can be applied to any rational function, but it is most effective when the denominator can be factored into linear or quadratic factors.
Types of Partial Fractions
There are several types of partial fractions that can arise depending on the factors of the denominator. The most common types include:
- Linear Factors: These occur when the denominator has distinct linear factors. For example,

- Repeated Linear Factors: These occur when the denominator has repeated linear factors. For example,

- Quadratic Factors: These occur when the denominator has quadratic factors that cannot be factored further. For example,

- Repeated Quadratic Factors: These occur when the denominator has repeated quadratic factors. For example,

Each type of partial fraction requires a slightly different approach to solve for the coefficients. However, the general principle of expressing the rational function as a sum of simpler fractions remains the same.
Examples of Partial Fraction Integration
Let's consider a few examples to illustrate the process of Partial Fraction Integration.
Example 1: Linear Factors
Consider the integral:

We factor the denominator and express the rational function as a sum of simpler fractions:

Solving for the coefficients A and B, we get:

Integrating each simpler fraction separately, we obtain:

Combining the results, we get the final integral:

Example 2: Repeated Linear Factors
Consider the integral:

We factor the denominator and express the rational function as a sum of simpler fractions:

Solving for the coefficients A, B, and C, we get:

Integrating each simpler fraction separately, we obtain:

Combining the results, we get the final integral:

Example 3: Quadratic Factors
Consider the integral:

We factor the denominator and express the rational function as a sum of simpler fractions:

Solving for the coefficients A and B, we get:

Integrating each simpler fraction separately, we obtain:

Combining the results, we get the final integral:

Applications of Partial Fraction Integration
Partial Fraction Integration has numerous applications in mathematics, physics, and engineering. Some of the key areas where this technique is used include:
- Solving Differential Equations: Many differential equations can be solved using Partial Fraction Integration. By expressing the solution as a sum of simpler functions, we can integrate each part separately and combine the results to obtain the final solution.
- Finding Areas and Volumes: Partial Fraction Integration is used to find the areas under curves and the volumes of solids of revolution. By breaking down the integrand into simpler fractions, we can evaluate the integral more easily.
- Signal Processing: In signal processing, Partial Fraction Integration is used to analyze and synthesize signals. By expressing a signal as a sum of simpler components, we can study its properties and design filters to process the signal.
- Control Systems: In control systems, Partial Fraction Integration is used to design and analyze controllers. By expressing the transfer function of a system as a sum of simpler fractions, we can study its stability and performance.
These applications highlight the versatility and importance of Partial Fraction Integration in various fields. By mastering this technique, we can solve complex problems more efficiently and effectively.
Challenges and Limitations
While Partial Fraction Integration is a powerful tool, it also has its challenges and limitations. Some of the key challenges include:
- Complex Denominators: When the denominator has complex factors, the process of Partial Fraction Integration can become more complicated. In such cases, we may need to use additional techniques, such as completing the square or using trigonometric identities, to simplify the integrand.
- Repeated Factors: When the denominator has repeated factors, the process of Partial Fraction Integration can be more time-consuming. We need to account for each repeated factor separately and solve for multiple coefficients.
- Improper Fractions: When the integrand is an improper fraction, we need to perform polynomial long division before applying Partial Fraction Integration. This can add an extra step to the process and make it more complex.
Despite these challenges, Partial Fraction Integration remains a valuable technique for evaluating integrals. By understanding the limitations and applying the appropriate techniques, we can overcome these challenges and solve complex problems.
π‘ Note: When dealing with complex denominators or repeated factors, it is important to take your time and double-check your work to ensure accuracy.
Advanced Techniques in Partial Fraction Integration
In addition to the basic techniques of Partial Fraction Integration, there are several advanced techniques that can be used to simplify complex integrals. Some of these techniques include:
- Partial Fraction Decomposition with Complex Conjugates: When the denominator has complex conjugate factors, we can use partial fraction decomposition to express the integrand as a sum of simpler fractions. This technique involves using complex numbers and their properties to simplify the integrand.
- Partial Fraction Decomposition with Irreducible Quadratic Factors: When the denominator has irreducible quadratic factors, we can use partial fraction decomposition to express the integrand as a sum of simpler fractions. This technique involves using trigonometric identities and completing the square to simplify the integrand.
- Partial Fraction Decomposition with Repeated Irreducible Quadratic Factors: When the denominator has repeated irreducible quadratic factors, we can use partial fraction decomposition to express the integrand as a sum of simpler fractions. This technique involves using trigonometric identities and completing the square to simplify the integrand, as well as accounting for each repeated factor separately.
These advanced techniques can be used to simplify complex integrals and make them more manageable. By mastering these techniques, we can solve a wider range of problems and gain a deeper understanding of Partial Fraction Integration.
Conclusion
Partial Fraction Integration is a powerful technique for evaluating integrals, particularly those involving rational functions. By decomposing the rational function into simpler fractions, we can integrate each part separately and then combine the results to obtain the final integral. This approach simplifies complex integrals and makes them more manageable. Whether you are solving differential equations, finding areas and volumes, or analyzing signals, Partial Fraction Integration is a valuable tool that can help you achieve your goals. By understanding the principles and techniques of Partial Fraction Integration, you can solve complex problems more efficiently and effectively.
Related Terms:
- integration using partial fractions examples
- partial fraction integration problems
- how to do partial integration
- partial fraction integration rules
- integration by partial fraction formula
- how to calculate partial fraction