Learning

Neonatal Blood Pressure

Neonatal Blood Pressure
Neonatal Blood Pressure

Neonatal blood pressure is a critical parameter in the assessment and management of newborns, particularly those who are premature or critically ill. Monitoring neonatal blood pressure helps healthcare providers ensure that the baby's organs, especially the brain, kidneys, and heart, receive adequate blood flow and oxygen. This blog post delves into the importance of neonatal blood pressure monitoring, the methods used, and the clinical implications of abnormal readings.

Understanding Neonatal Blood Pressure

Neonatal blood pressure refers to the pressure exerted by circulating blood on the walls of the arteries in newborns. It is typically measured in millimeters of mercury (mmHg) and is expressed as two numbers: systolic pressure (the higher number) and diastolic pressure (the lower number). Systolic pressure represents the pressure in the arteries when the heart beats, while diastolic pressure represents the pressure when the heart is at rest between beats.

Neonatal blood pressure can vary significantly based on several factors, including gestational age, birth weight, and overall health status. Premature infants, for instance, often have lower blood pressure compared to full-term infants due to their underdeveloped cardiovascular systems.

Importance of Monitoring Neonatal Blood Pressure

Monitoring neonatal blood pressure is crucial for several reasons:

  • Early Detection of Hypotension: Low blood pressure (hypotension) can lead to inadequate organ perfusion, which may result in organ damage or failure. Early detection allows for prompt intervention.
  • Assessment of Cardiovascular Health: Blood pressure readings provide insights into the baby's cardiovascular health and can help identify underlying conditions such as sepsis, congenital heart defects, or respiratory distress syndrome.
  • Guidance for Treatment: Accurate blood pressure measurements guide the administration of fluids, medications, and other interventions aimed at stabilizing the baby's condition.

Methods of Measuring Neonatal Blood Pressure

Several methods are used to measure neonatal blood pressure, each with its advantages and limitations:

Oscillometric Method

The oscillometric method is the most commonly used technique for measuring neonatal blood pressure. It involves placing a cuff around the baby's arm or leg and inflating it to occlude blood flow. The cuff then deflates, and a sensor detects the oscillations in the arterial wall as blood flow resumes. These oscillations are used to calculate the systolic and diastolic pressures.

This method is non-invasive, easy to perform, and provides reliable readings. However, it may not be as accurate in very small or critically ill infants.

Invasive Arterial Blood Pressure Monitoring

Invasive arterial blood pressure monitoring involves inserting a catheter into an artery, typically the umbilical artery or radial artery. This method provides continuous and highly accurate blood pressure readings, making it ideal for critically ill infants who require close monitoring.

While invasive monitoring offers precise measurements, it carries risks such as infection, bleeding, and vascular injury. Therefore, it is reserved for infants who are critically ill and require intensive care.

Doppler Ultrasound Method

The Doppler ultrasound method uses sound waves to detect blood flow in the arteries. A probe is placed over the artery, and the Doppler effect is used to measure the velocity of blood flow, which is then converted into blood pressure readings.

This method is non-invasive and can be useful in situations where the oscillometric method is not feasible. However, it requires specialized equipment and trained personnel.

Clinical Implications of Abnormal Neonatal Blood Pressure

Abnormal neonatal blood pressure readings can have significant clinical implications. Both hypotension and hypertension require prompt attention and appropriate management.

Hypotension

Hypotension in neonates is defined as a systolic blood pressure below the 5th percentile for gestational age. It can lead to inadequate organ perfusion, resulting in:

  • Organ Damage: Prolonged hypotension can cause damage to vital organs such as the brain, kidneys, and heart.
  • Sepsis: Low blood pressure is often a sign of sepsis, a severe infection that requires immediate treatment with antibiotics.
  • Respiratory Distress: Hypotension can exacerbate respiratory distress syndrome, making it harder for the baby to breathe.

Management of hypotension typically involves fluid resuscitation, inotropic support (medications that increase heart contractility), and addressing any underlying causes.

Hypertension

Hypertension in neonates is less common but can occur due to various factors such as renal disease, congenital adrenal hyperplasia, or certain medications. It is defined as a systolic blood pressure above the 95th percentile for gestational age.

Hypertension can lead to:

  • Intracranial Hemorrhage: High blood pressure can cause bleeding in the brain, leading to neurological complications.
  • Cardiac Stress: Elevated blood pressure increases the workload on the heart, which can lead to heart failure.
  • Organ Damage: Prolonged hypertension can cause damage to the kidneys, eyes, and other organs.

Management of hypertension involves identifying and treating the underlying cause, as well as using antihypertensive medications to lower blood pressure.

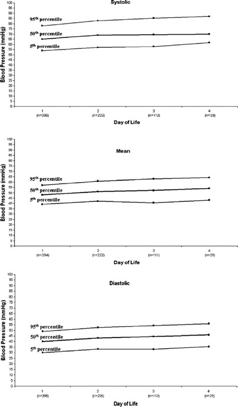
Normal Blood Pressure Ranges for Neonates

Normal blood pressure ranges for neonates vary based on gestational age and birth weight. The following table provides general guidelines for normal blood pressure ranges in neonates:

Gestational Age (weeks) Systolic Pressure (mmHg) Diastolic Pressure (mmHg)
24-27 30-45 15-25
28-31 35-50 20-30
32-36 40-55 25-35
37-40 45-60 30-40

📝 Note: These ranges are approximate and can vary based on individual factors. Always consult with a healthcare provider for specific guidelines.

Challenges in Neonatal Blood Pressure Monitoring

Monitoring neonatal blood pressure presents several challenges, including:

  • Small Size: The small size of neonates makes it difficult to obtain accurate readings using standard blood pressure cuffs.
  • Fragile Vessels: The delicate nature of neonatal blood vessels increases the risk of complications with invasive monitoring methods.
  • Fluctuating Readings: Neonatal blood pressure can fluctuate rapidly due to changes in the baby's condition, making it challenging to interpret readings accurately.

Despite these challenges, advancements in technology and medical techniques continue to improve the accuracy and safety of neonatal blood pressure monitoring.

Future Directions in Neonatal Blood Pressure Monitoring

The field of neonatal blood pressure monitoring is continually evolving, with ongoing research and technological advancements aimed at improving accuracy and safety. Some future directions include:

  • Non-Invasive Continuous Monitoring: Developing non-invasive methods for continuous blood pressure monitoring can reduce the need for invasive procedures and improve patient comfort.
  • Advanced Algorithms: Utilizing advanced algorithms and machine learning to analyze blood pressure data can provide more accurate and personalized insights into a baby's condition.
  • Integration with Other Monitoring Systems: Integrating neonatal blood pressure monitoring with other vital sign monitoring systems can provide a comprehensive view of the baby's health status, enabling more effective management.

These advancements hold promise for enhancing the care and outcomes of neonates, particularly those who are critically ill or premature.

Neonatal blood pressure monitoring is a vital component of neonatal care, providing essential information for the assessment and management of newborns. By understanding the methods, clinical implications, and challenges associated with neonatal blood pressure monitoring, healthcare providers can ensure the best possible outcomes for their patients. Continuous advancements in technology and medical techniques will further enhance the accuracy and safety of neonatal blood pressure monitoring, contributing to improved neonatal health and well-being.

Related Terms:

  • neonatal blood pressure chart
  • pediatric blood pressure
  • neonatal blood pressure cuffs
  • normal neonatal blood pressure
  • neonatal blood pressure percentiles
  • neonatal blood pressure centiles
Facebook Twitter WhatsApp
Related Posts
Don't Miss