Learning

N2 Molecular Orbital Diagram

N2 Molecular Orbital Diagram
N2 Molecular Orbital Diagram

Understanding the electronic structure of molecules is fundamental to chemistry, and one of the most intriguing molecules to study is nitrogen (N2). The N2 molecular orbital diagram provides a visual representation of how electrons are distributed in the molecular orbitals of the nitrogen molecule. This diagram is crucial for understanding the bonding, stability, and reactivity of N2. In this post, we will delve into the details of the N2 molecular orbital diagram, explaining its components, how to construct it, and its significance in chemistry.

Understanding Molecular Orbitals

Before diving into the N2 molecular orbital diagram, it’s essential to grasp the concept of molecular orbitals. Molecular orbitals are regions in a molecule where electrons are likely to be found. They are formed by the combination of atomic orbitals from individual atoms. The types of molecular orbitals include:

  • Sigma (σ) orbitals: Formed by the head-on overlap of atomic orbitals.
  • Pi (π) orbitals: Formed by the side-by-side overlap of atomic orbitals.

These orbitals can be bonding, antibonding, or nonbonding, depending on their energy levels and the phase relationship of the combining atomic orbitals.

The N2 Molecular Orbital Diagram

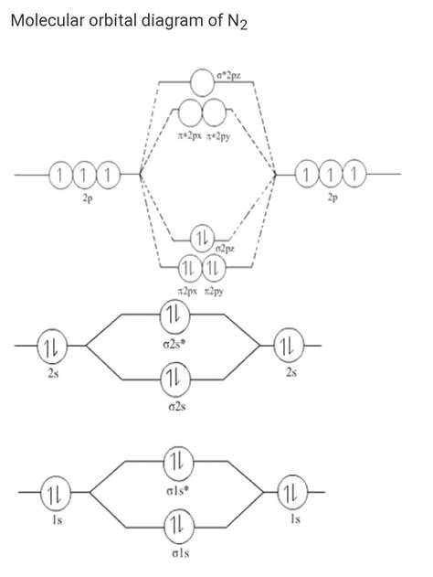
The N2 molecular orbital diagram for the nitrogen molecule (N2) involves the combination of atomic orbitals from two nitrogen atoms. Each nitrogen atom has the electronic configuration 1s²2s²2p³. When these atoms come together to form a molecule, their atomic orbitals combine to form molecular orbitals.

Constructing the N2 Molecular Orbital Diagram

To construct the N2 molecular orbital diagram, follow these steps:

  1. Identify the atomic orbitals of the individual nitrogen atoms.
  2. Determine how these atomic orbitals combine to form molecular orbitals.
  3. Arrange the molecular orbitals in order of increasing energy.
  4. Fill the molecular orbitals with electrons according to the Aufbau principle, Hund’s rule, and the Pauli exclusion principle.

Let's break down each step:

Step 1: Identify Atomic Orbitals

Each nitrogen atom has the following atomic orbitals:

  • 1s orbital
  • 2s orbital
  • 2p orbitals (three in total: 2px, 2py, 2pz)

Step 2: Combine Atomic Orbitals

When two nitrogen atoms approach each other, their atomic orbitals combine to form molecular orbitals. The combinations are as follows:

  • 1s orbitals combine to form σ1s and σ*1s orbitals.
  • 2s orbitals combine to form σ2s and σ*2s orbitals.
  • 2p orbitals combine to form σ2p and σ*2p orbitals, as well as π2p and π*2p orbitals.

Step 3: Arrange Molecular Orbitals by Energy

The molecular orbitals are arranged in order of increasing energy. The general order is:

  • σ1s
  • σ*1s
  • σ2s
  • σ*2s
  • π2p
  • σ2p
  • π*2p
  • σ*2p

Step 4: Fill Molecular Orbitals with Electrons

Nitrogen has a total of 14 electrons (7 from each atom). These electrons are filled into the molecular orbitals according to the following rules:

  • Aufbau principle: Electrons fill the lowest energy orbitals first.
  • Hund’s rule: Electrons fill degenerate orbitals (orbitals with the same energy) singly before pairing.
  • Pauli exclusion principle: Each orbital can hold a maximum of two electrons with opposite spins.

Here is the N2 molecular orbital diagram with the electrons filled in:

Molecular Orbital Electrons
σ1s 2
σ*1s 2
σ2s 2
σ*2s 2
π2p 4
σ2p 2
π*2p 0
σ*2p 0

📝 Note: The π2p orbitals are degenerate and can hold a total of 4 electrons, which are distributed according to Hund's rule.

Significance of the N2 Molecular Orbital Diagram

The N2 molecular orbital diagram is significant for several reasons:

  • It explains the stability of the N2 molecule: The presence of a triple bond (one σ bond and two π bonds) makes N2 very stable.
  • It helps understand the reactivity of N2: The high bond energy of N2 makes it relatively inert under normal conditions.
  • It provides insights into the electronic structure: The diagram shows how electrons are distributed in the molecular orbitals, which is crucial for understanding chemical properties.

Applications of the N2 Molecular Orbital Diagram

The N2 molecular orbital diagram has various applications in chemistry and related fields:

  • Predicting chemical reactivity: By understanding the electronic structure, chemists can predict how N2 will react with other molecules.
  • Designing catalysts: The diagram helps in designing catalysts that can break the strong triple bond in N2, facilitating reactions like the Haber-Bosch process for ammonia synthesis.
  • Studying atmospheric chemistry: N2 is a major component of the Earth’s atmosphere, and understanding its electronic structure is essential for studying atmospheric processes.

In addition to these applications, the N2 molecular orbital diagram is a fundamental concept in quantum chemistry and molecular spectroscopy. It provides a basis for understanding more complex molecular systems and their interactions.

In conclusion, the N2 molecular orbital diagram is a powerful tool for understanding the electronic structure and properties of the nitrogen molecule. By constructing and analyzing this diagram, chemists can gain insights into the bonding, stability, and reactivity of N2. This knowledge is crucial for various applications in chemistry, from predicting chemical reactions to designing catalysts and studying atmospheric processes. The N2 molecular orbital diagram serves as a foundation for more advanced studies in quantum chemistry and molecular spectroscopy, making it an essential concept for students and researchers alike.

Related Terms:

  • n2 electronic configuration mot
  • mo diagram n2
  • molecular orbital configuration of n2
  • co molecular orbital diagram
  • n2 electron configuration
  • n2 molecular orbital chart
Facebook Twitter WhatsApp
Related Posts
Don't Miss