Learning

Markovnikov And Anti Markovnikov

Markovnikov And Anti Markovnikov
Markovnikov And Anti Markovnikov

In the realm of organic chemistry, the addition of hydrogen halides (HX) to alkenes is a fundamental reaction that follows specific rules. Two prominent rules govern this reaction: Markovnikov and Anti-Markovnikov. Understanding these rules is crucial for predicting the outcome of such reactions and for designing synthetic pathways in organic chemistry.

Understanding Markovnikov Addition

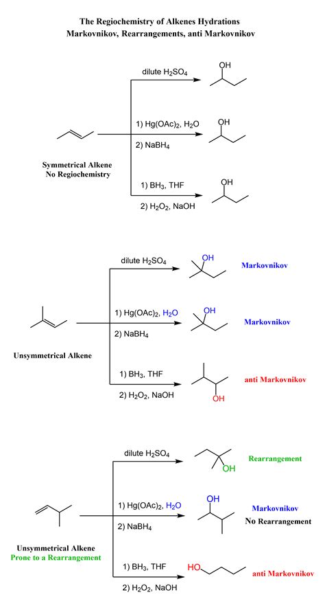
The Markovnikov rule, named after the Russian chemist Vladimir Markovnikov, states that in the addition of a protic acid (HX) to an alkene, the hydrogen (H) atom adds to the carbon atom that already has the greater number of hydrogen atoms, while the halide (X) adds to the carbon atom with fewer hydrogen atoms. This rule is based on the stability of carbocations formed during the reaction.

For example, consider the addition of hydrogen chloride (HCl) to propene (CH3CH=CH2). According to the Markovnikov rule, the hydrogen atom will add to the terminal carbon (CH2), and the chloride ion will add to the central carbon (CH). This results in the formation of 2-chloropropane.

Mechanism of Markovnikov Addition

The mechanism of Markovnikov addition involves the following steps:

  • Protonation: The alkene is protonated by the hydrogen halide, forming a carbocation intermediate. The proton (H+) attacks the alkene, and the π electrons shift to form a carbocation.
  • Nucleophilic Attack: The halide ion (X-) then attacks the carbocation from the backside, forming the final product.

This mechanism can be illustrated with the addition of HCl to propene:

Markovnikov Addition Mechanism

Factors Affecting Markovnikov Addition

Several factors influence the outcome of Markovnikov addition:

  • Stability of Carbocations: The stability of the carbocation intermediate is a key factor. Tertiary carbocations are more stable than secondary carbocations, which in turn are more stable than primary carbocations.
  • Steric Hindrance: The steric hindrance around the carbocation can also affect the reaction. Bulkier groups can hinder the approach of the nucleophile, influencing the regioselectivity.
  • Solvent Effects: The choice of solvent can impact the reaction rate and selectivity. Polar solvents can stabilize the carbocation intermediate, affecting the reaction outcome.

Anti-Markovnikov Addition

In contrast to the Markovnikov rule, the Anti-Markovnikov addition involves the addition of hydrogen and halide in the opposite manner. This means the hydrogen adds to the carbon with fewer hydrogen atoms, and the halide adds to the carbon with more hydrogen atoms. This type of addition is less common and typically requires specific conditions or catalysts.

One well-known example of Anti-Markovnikov addition is the hydroboration-oxidation reaction. In this process, an alkene reacts with borane (BH3) to form an organoborane intermediate, which is then oxidized to give an alcohol. The hydroxyl group (OH) adds to the carbon with fewer hydrogen atoms, following the Anti-Markovnikov rule.

Mechanism of Anti-Markovnikov Addition

The mechanism of Anti-Markovnikov addition, as seen in the hydroboration-oxidation reaction, involves the following steps:

  • Hydroboration: The alkene reacts with borane (BH3) to form an organoborane intermediate. The boron atom adds to the less substituted carbon, and the hydrogen adds to the more substituted carbon.
  • Oxidation: The organoborane intermediate is then oxidized using hydrogen peroxide (H2O2) in the presence of a base, such as sodium hydroxide (NaOH), to form an alcohol.

This mechanism can be illustrated with the hydroboration-oxidation of propene:

Anti-Markovnikov Addition Mechanism

Applications of Markovnikov and Anti-Markovnikov Additions

Both Markovnikov and Anti-Markovnikov additions have wide-ranging applications in organic synthesis. Understanding these rules allows chemists to design synthetic pathways to produce specific compounds with desired functionalities.

For example, the Markovnikov addition is commonly used in the synthesis of alkyl halides, which are important intermediates in various chemical reactions. On the other hand, the Anti-Markovnikov addition is used in the synthesis of alcohols, which are crucial in the production of pharmaceuticals, cosmetics, and other industrial chemicals.

Comparative Analysis of Markovnikov and Anti-Markovnikov Additions

To better understand the differences between Markovnikov and Anti-Markovnikov additions, let's compare them side by side:

Aspect Markovnikov Addition Anti-Markovnikov Addition
Regioselectivity H adds to the more substituted carbon H adds to the less substituted carbon
Mechanism Carbocation intermediate Organoborane intermediate (in hydroboration-oxidation)
Conditions Typically occurs under acidic conditions Requires specific catalysts or conditions (e.g., borane for hydroboration)
Examples Addition of HCl to propene Hydroboration-oxidation of propene

📝 Note: The choice between Markovnikov and Anti-Markovnikov addition depends on the desired product and the specific reaction conditions.

Challenges and Limitations

While Markovnikov and Anti-Markovnikov additions are powerful tools in organic synthesis, they also present certain challenges and limitations. For instance, the regioselectivity of Markovnikov addition can be influenced by steric factors, leading to mixtures of products. Similarly, the Anti-Markovnikov addition often requires specific catalysts or conditions, which can be costly or difficult to implement.

Additionally, the stability of carbocation intermediates in Markovnikov addition can vary, affecting the reaction rate and selectivity. In some cases, the formation of stable carbocations can lead to rearrangements or side reactions, complicating the synthesis.

To overcome these challenges, chemists often employ various strategies, such as using different solvents, catalysts, or reaction conditions to optimize the yield and selectivity of the desired product.

In conclusion, the concepts of Markovnikov and Anti-Markovnikov additions are fundamental to understanding the addition of hydrogen halides to alkenes. These rules provide a framework for predicting the outcome of such reactions and designing synthetic pathways in organic chemistry. By understanding the mechanisms, factors, and applications of these additions, chemists can effectively utilize them to produce a wide range of compounds with desired functionalities. The choice between Markovnikov and Anti-Markovnikov addition depends on the specific reaction conditions and the desired product, making both rules essential tools in the chemist’s toolkit.

Related Terms:

  • anti markovnikov rule vs anti
  • difference between markovnikov and anti
  • markovnikov and anti markovnikov rule
  • difference between anti markovnikov rule
  • hydrohalogenation of alkenes markovnikov
  • anti markovnikov rule difference
Facebook Twitter WhatsApp
Related Posts
Don't Miss