Learning

Least Absolute Deviation

Least Absolute Deviation
Least Absolute Deviation

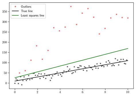
In the realm of statistical analysis and data modeling, the concept of Least Absolute Deviation (LAD) stands out as a robust method for estimating parameters in regression models. Unlike the more commonly used Least Squares method, which minimizes the sum of squared residuals, LAD focuses on minimizing the sum of absolute residuals. This approach offers several advantages, particularly in scenarios where the data contains outliers or is not normally distributed.

Understanding Least Absolute Deviation

Least Absolute Deviation is a statistical technique used to fit a model to data by minimizing the sum of the absolute differences between the observed and predicted values. This method is particularly useful when dealing with data that does not conform to the assumptions of normality and homoscedasticity, which are often required for the Least Squares method.

Mathematically, if we have a set of data points (xi, yi) for i = 1, 2, ..., n, and we want to fit a linear model y = β0 + β1x, the LAD method seeks to minimize the following objective function:

📝 Note: The objective function for LAD is Σ|yi - (β0 + β1xi)|.

Advantages of Least Absolute Deviation

There are several key advantages to using Least Absolute Deviation over other regression methods:

  • Robustness to Outliers: LAD is less sensitive to outliers compared to Least Squares. This makes it a better choice for datasets with extreme values that could disproportionately affect the model.
  • Non-Normal Data: LAD does not assume that the errors are normally distributed, making it suitable for a wider range of data types.
  • Interpretability: The coefficients estimated by LAD are often more interpretable in the context of the data, as they are less influenced by extreme values.

Applications of Least Absolute Deviation

Least Absolute Deviation finds applications in various fields where robust statistical modeling is crucial. Some of the key areas include:

  • Econometrics: In economic modeling, where data often contains outliers and is not normally distributed, LAD provides a more reliable estimation of parameters.
  • Finance: In financial analysis, LAD is used to model stock prices and other financial indicators, where outliers are common.
  • Engineering: In engineering applications, LAD is used to model systems with noisy data, ensuring that the model is robust to measurement errors.

Implementation of Least Absolute Deviation

Implementing Least Absolute Deviation can be done using various statistical software packages. Below is an example of how to implement LAD using Python with the `statsmodels` library.

First, ensure you have the necessary libraries installed:

pip install statsmodels numpy pandas

Here is a step-by-step guide to implementing LAD:


import numpy as np
import pandas as pd
import statsmodels.api as sm

# Generate some sample data
np.random.seed(0)
x = np.random.randn(100)
y = 2 * x + 3 + np.random.randn(100)

# Add an outlier
x[0] = 10
y[0] = 50

# Prepare the data for the model
X = sm.add_constant(x)
model = sm.RLM(y, X, M=sm.robust.norms.LeastAbsoluteDeviation()).fit()

# Print the results
print(model.summary())

In this example, we generate a dataset with a linear relationship and add an outlier. We then use the `RLM` (Robust Linear Model) function from `statsmodels` to fit a LAD model to the data. The `M=sm.robust.norms.LeastAbsoluteDeviation()` parameter specifies that we are using the LAD method.

📝 Note: The `statsmodels` library provides a robust framework for implementing various regression models, including LAD.

Comparing Least Absolute Deviation with Other Methods

To understand the effectiveness of Least Absolute Deviation, it is useful to compare it with other regression methods, such as Least Squares and Huber Regression. Below is a comparison table highlighting the key differences:

Method Objective Function Sensitivity to Outliers Assumptions
Least Squares Σ(yi - (β0 + β1xi))2 High Normality, Homoscedasticity
Least Absolute Deviation Σ|yi - (β0 + β1xi)| Low None
Huber Regression Σρ(yi - (β0 + β1xi)) Medium None

As seen in the table, Least Absolute Deviation offers a good balance between robustness to outliers and simplicity of implementation. It does not require strong assumptions about the data distribution, making it a versatile tool for various applications.

Challenges and Limitations

While Least Absolute Deviation has many advantages, it also comes with certain challenges and limitations:

  • Computational Complexity: LAD can be more computationally intensive than Least Squares, especially for large datasets. This is because the objective function is not differentiable at zero, requiring specialized optimization techniques.
  • Interpretation of Coefficients: The coefficients estimated by LAD may not have the same intuitive interpretation as those from Least Squares, particularly in the context of hypothesis testing.
  • Software Support: While many statistical software packages support LAD, the implementation details can vary, and not all packages offer the same level of functionality.

Despite these challenges, the benefits of using Least Absolute Deviation often outweigh the limitations, especially in scenarios where robustness to outliers is crucial.

📝 Note: When implementing LAD, it is important to consider the computational resources available and the specific requirements of the analysis.

Conclusion

Least Absolute Deviation is a powerful statistical method for regression analysis, offering robustness to outliers and flexibility in handling non-normal data. Its ability to minimize the sum of absolute residuals makes it a valuable tool in fields such as econometrics, finance, and engineering. While it has some computational and interpretational challenges, the advantages of LAD make it a preferred choice for many data analysis tasks. By understanding the principles and applications of LAD, analysts can make more informed decisions and develop more accurate models.

Related Terms:

  • least absolute value
  • least absolute deviations definition
  • lad regression python
  • least absolute deviation formula
  • least absolute residue
  • least absolute deviation regression
Facebook Twitter WhatsApp
Related Posts
Don't Miss