Learning

Land Rental Agreement

Land Rental Agreement
Land Rental Agreement

Navigating the complexities of land ownership and usage often involves understanding the intricacies of a Land Rental Agreement. Whether you are a landowner looking to lease your property or a tenant seeking to rent land for agricultural, residential, or commercial purposes, a well-drafted Land Rental Agreement is crucial. This agreement outlines the rights, responsibilities, and obligations of both parties, ensuring a smooth and mutually beneficial relationship.

Understanding the Basics of a Land Rental Agreement

A Land Rental Agreement is a legal contract between a landowner (lessor) and a tenant (lessee) that allows the tenant to use the land for a specified period. This agreement is essential for clarifying the terms of the lease, including the duration, rent, and conditions under which the land can be used. It helps prevent disputes and ensures that both parties are aware of their roles and responsibilities.

Key Components of a Land Rental Agreement

When drafting a Land Rental Agreement, several key components must be included to ensure comprehensiveness and clarity. These components include:

  • Parties Involved: Clearly identify the landowner and the tenant, including their full names and contact information.
  • Property Description: Provide a detailed description of the land, including its location, size, and any specific features or boundaries.
  • Term of the Lease: Specify the start and end dates of the lease, as well as any renewal options.
  • Rent and Payment Terms: Outline the rent amount, payment schedule, and acceptable payment methods.
  • Use of the Land: Define how the land can be used, including any restrictions or permitted activities.
  • Maintenance and Repairs: Detail the responsibilities for maintaining the land and making necessary repairs.
  • Insurance: Specify who is responsible for obtaining insurance coverage for the land and any structures on it.
  • Termination Clause: Include conditions under which the lease can be terminated early, such as breach of contract or non-payment of rent.
  • Dispute Resolution: Outline the process for resolving any disputes that may arise during the lease period.
  • Signatures: Both the landowner and the tenant must sign the agreement, indicating their acceptance of the terms.

Drafting a Comprehensive Land Rental Agreement

Creating a comprehensive Land Rental Agreement involves careful consideration of all relevant factors. Here are the steps to draft an effective agreement:

Step 1: Identify the Parties

Begin by clearly identifying the landowner and the tenant. Include their full legal names, addresses, and contact information. This ensures that both parties are easily identifiable and can be contacted if necessary.

Step 2: Describe the Property

Provide a detailed description of the land, including its legal description, size, and any specific features or boundaries. This helps to avoid any confusion about the exact property being leased.

Step 3: Define the Term of the Lease

Specify the start and end dates of the lease, as well as any renewal options. Clearly state whether the lease is for a fixed term or on a month-to-month basis. Include any conditions for renewal or termination.

Step 4: Outline Rent and Payment Terms

Detail the rent amount, payment schedule, and acceptable payment methods. Specify when rent is due, how it should be paid, and any penalties for late payments. Include information about security deposits, if applicable.

Step 5: Specify the Use of the Land

Define how the land can be used, including any restrictions or permitted activities. For example, if the land is being leased for agricultural purposes, specify the types of crops that can be grown or the types of livestock that can be raised.

Step 6: Detail Maintenance and Repairs

Outline the responsibilities for maintaining the land and making necessary repairs. Specify who is responsible for routine maintenance, such as mowing the lawn or clearing debris, and who is responsible for major repairs, such as fixing fences or repairing structures.

Step 7: Address Insurance Requirements

Specify who is responsible for obtaining insurance coverage for the land and any structures on it. Include details about the type and amount of coverage required, as well as who will pay the premiums.

Step 8: Include a Termination Clause

Include conditions under which the lease can be terminated early, such as breach of contract or non-payment of rent. Specify the notice period required for termination and any penalties for early termination.

Step 9: Outline Dispute Resolution

Detail the process for resolving any disputes that may arise during the lease period. Include information about mediation, arbitration, or litigation, and specify which party is responsible for the costs associated with dispute resolution.

Step 10: Obtain Signatures

Both the landowner and the tenant must sign the agreement, indicating their acceptance of the terms. Include a date for each signature to ensure that both parties have agreed to the terms at the same time.

πŸ“ Note: It is advisable to consult with a legal professional to ensure that the Land Rental Agreement complies with local laws and regulations.

Common Clauses in a Land Rental Agreement

A well-drafted Land Rental Agreement should include several common clauses to address various aspects of the lease. These clauses help to clarify the terms and conditions, ensuring that both parties are aware of their obligations and rights.

Rent Escalation Clause

A rent escalation clause allows for periodic increases in the rent amount. This clause is particularly useful in long-term leases, where the cost of living or market rates may change over time. Specify the frequency and percentage of rent increases, as well as any conditions for adjustments.

Subletting Clause

A subletting clause outlines the conditions under which the tenant can sublet the land to another party. Specify whether subletting is permitted, and if so, under what circumstances. Include any requirements for obtaining the landowner's consent and the terms of the sublease.

Environmental Compliance Clause

An environmental compliance clause ensures that the tenant complies with all environmental regulations and standards. This clause is particularly important for agricultural or industrial leases, where environmental impact is a concern. Specify the tenant's responsibilities for waste management, pollution control, and compliance with local environmental laws.

Default and Remedies Clause

A default and remedies clause outlines the consequences of a breach of the lease agreement. Specify the actions that can be taken if the tenant fails to meet their obligations, such as non-payment of rent or violation of the lease terms. Include information about eviction procedures, damages, and any other remedies available to the landowner.

Special Considerations for Different Types of Land Use

The specific terms of a Land Rental Agreement can vary depending on the intended use of the land. Here are some special considerations for different types of land use:

Agricultural Land

When leasing agricultural land, include clauses that address crop rotation, soil conservation, and pest control. Specify the types of crops that can be grown and any restrictions on the use of pesticides or fertilizers. Include provisions for water rights and irrigation systems, if applicable.

Residential Land

For residential land, include clauses that address zoning regulations, building permits, and construction standards. Specify the types of structures that can be built and any restrictions on the use of the land for non-residential purposes. Include provisions for utilities, such as water, electricity, and sewage, and specify who is responsible for their installation and maintenance.

Commercial Land

When leasing commercial land, include clauses that address zoning regulations, business licenses, and environmental compliance. Specify the types of businesses that can operate on the land and any restrictions on the use of the property for non-commercial purposes. Include provisions for utilities, parking, and access to the property, and specify who is responsible for their installation and maintenance.

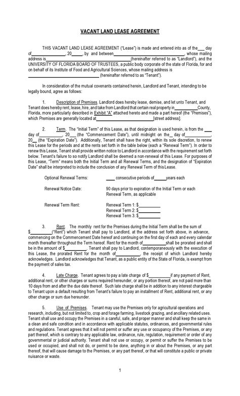
Sample Land Rental Agreement

Below is a sample Land Rental Agreement that includes the key components and common clauses discussed above. This sample is for illustrative purposes only and should be customized to fit the specific needs and circumstances of the parties involved.

Clause Description
Parties Involved John Doe (Landowner) and Jane Smith (Tenant)
Property Description 10 acres of agricultural land located at 123 Farm Road, Anytown, USA
Term of the Lease January 1, 2024, to December 31, 2026, with an option to renew for an additional two years
Rent and Payment Terms $500 per month, due on the first day of each month
Use of the Land Agricultural use only, with permission to grow crops and raise livestock
Maintenance and Repairs The tenant is responsible for routine maintenance, while the landowner is responsible for major repairs
Insurance The tenant is responsible for obtaining liability insurance coverage
Termination Clause The lease can be terminated with a 30-day notice for breach of contract or non-payment of rent
Dispute Resolution Any disputes will be resolved through mediation or arbitration
Signatures Signed by John Doe and Jane Smith on January 1, 2024

πŸ“ Note: This sample Land Rental Agreement is for illustrative purposes only and should be customized to fit the specific needs and circumstances of the parties involved. Consult with a legal professional to ensure compliance with local laws and regulations.

In conclusion, a well-drafted Land Rental Agreement is essential for ensuring a smooth and mutually beneficial relationship between a landowner and a tenant. By including key components and common clauses, and considering the specific needs and circumstances of the parties involved, a comprehensive agreement can be created that protects the interests of both parties and helps to prevent disputes. Whether leasing agricultural, residential, or commercial land, a thorough understanding of the terms and conditions of the lease is crucial for a successful and productive land rental experience.

Related Terms:

  • land rental agreement pdf
  • simple land rental agreement
  • land rental agreement uk
  • farm land rental agreement
  • lot rental agreement
  • simple farm land lease agreement
Facebook Twitter WhatsApp
Related Posts
Don't Miss