Learning

Integral Of Spherical Coordinates

Integral Of Spherical Coordinates
Integral Of Spherical Coordinates

Understanding the integral of spherical coordinates is crucial for anyone delving into advanced calculus and physics. Spherical coordinates provide a powerful tool for solving problems in three-dimensional space, particularly those involving symmetry around a point. This coordinate system is especially useful in fields like electromagnetism, fluid dynamics, and quantum mechanics. In this post, we will explore the basics of spherical coordinates, how to convert between different coordinate systems, and how to compute the integral of spherical coordinates.

Understanding Spherical Coordinates

Spherical coordinates are a way of representing points in three-dimensional space using three variables: r, θ, and φ. Here’s a breakdown of what each variable represents:

  • r: The radial distance from the origin to the point.
  • θ: The polar angle, measured from the positive z-axis.
  • φ: The azimuthal angle, measured from the positive x-axis in the xy-plane.

These coordinates are particularly useful for problems that exhibit spherical symmetry, such as those involving spheres, cones, and other shapes that can be easily described in terms of distance and angles.

Converting Between Coordinate Systems

To effectively work with the integral of spherical coordinates, it’s essential to understand how to convert between spherical coordinates and other coordinate systems, such as Cartesian and cylindrical coordinates.

Spherical to Cartesian Coordinates

The conversion from spherical to Cartesian coordinates is given by the following formulas:

Cartesian Coordinate Spherical Coordinate Formula
x r * sin(θ) * cos(φ)
y r * sin(θ) * sin(φ)
z r * cos(θ)

Cartesian to Spherical Coordinates

The conversion from Cartesian to spherical coordinates involves solving for r, θ, and φ using the following formulas:

Spherical Coordinate Cartesian Coordinate Formula
r sqrt(x^2 + y^2 + z^2)
θ acos(z / r)
φ atan2(y, x)

💡 Note: The atan2 function is used to determine the correct quadrant for the azimuthal angle φ.

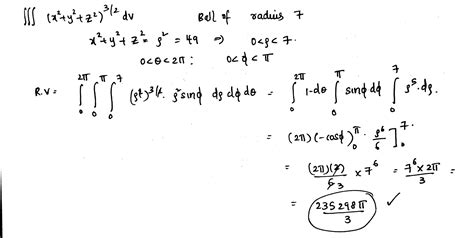
The Integral of Spherical Coordinates

Computing the integral of spherical coordinates involves integrating a function over a region in three-dimensional space. The integral in spherical coordinates is given by:

∫∫∫ f(r, θ, φ) * r^2 * sin(θ) dr dθ dφ

Here, f(r, θ, φ) is the function being integrated, and the factor r^2 * sin(θ) comes from the Jacobian determinant of the transformation from Cartesian to spherical coordinates.

Setting Up the Integral

To set up the integral of spherical coordinates, follow these steps:

  1. Identify the region of integration in spherical coordinates. This often involves determining the limits for r, θ, and φ.
  2. Write the function f(r, θ, φ) in terms of spherical coordinates.
  3. Set up the integral with the appropriate limits and the Jacobian factor r^2 * sin(θ).

Example: Integrating Over a Sphere

Let’s consider an example where we integrate the function f(r, θ, φ) = 1 over a sphere of radius R. The limits for the integral are:

  • r from 0 to R
  • θ from 0 to π
  • φ from 0 to

The integral becomes:

∫ from 0 to 2π ∫ from 0 to π ∫ from 0 to R r^2 * sin(θ) dr dθ dφ

Evaluating this integral step by step:

  1. Integrate with respect to r:

    ∫ from 0 to R r^2 dr = [r^33] from 0 to R = R^33

  2. Integrate with respect to θ:

    ∫ from 0 to π sin(θ) dθ = [-cos(θ)] from 0 to π = 2

  3. Integrate with respect to φ:

    ∫ from 0 to 2π dφ = 2π

Combining these results, we get:

43 * π * R^3

This is the volume of a sphere of radius R, confirming that our integral is correct.

Applications of the Integral of Spherical Coordinates

The integral of spherical coordinates has numerous applications in physics and engineering. Some key areas include:

  • Electromagnetism: Calculating electric and magnetic fields in spherical symmetry.
  • Quantum Mechanics: Solving the Schrödinger equation in spherical coordinates.
  • Fluid Dynamics: Analyzing flow patterns around spherical objects.
  • Astronomy: Modeling the distribution of matter in the universe.

Challenges and Considerations

While the integral of spherical coordinates is a powerful tool, it also presents several challenges:

  • Complexity: The integrals can become quite complex, especially for functions that are not spherically symmetric.
  • Limits of Integration: Determining the correct limits for r, θ, and φ can be non-trivial.
  • Jacobian Factor: Remembering to include the Jacobian factor r^2 * sin(θ) is crucial for accurate results.

To overcome these challenges, it’s essential to practice with various examples and understand the geometric interpretation of the coordinates.

In conclusion, the integral of spherical coordinates is a fundamental concept in advanced calculus and physics. By understanding how to convert between coordinate systems and set up integrals in spherical coordinates, you can solve a wide range of problems involving three-dimensional space. Whether you’re studying electromagnetism, quantum mechanics, or fluid dynamics, mastering the integral of spherical coordinates will provide you with a powerful tool for analyzing complex systems.

Related Terms:

  • spherical coordinates triple integral calc
  • change integral to spherical coordinates
  • volume integral in spherical coordinates
  • spherical coordinates triple integral practice
  • spherical integral setup
  • spherical coordinates surface integral
Facebook Twitter WhatsApp
Related Posts
Don't Miss