Learning

Final Value Theorem

Final Value Theorem
Final Value Theorem

Understanding the behavior of systems over time is a critical aspect of control theory and engineering. One powerful tool that aids in this analysis is the Final Value Theorem. This theorem provides a straightforward method to determine the steady-state value of a system without solving the differential equations explicitly. By leveraging the Laplace transform, the Final Value Theorem simplifies the process of finding the final value of a system's response, making it an invaluable tool for engineers and mathematicians alike.

Understanding the Final Value Theorem

The Final Value Theorem is a mathematical tool used to find the steady-state value of a system's response as time approaches infinity. It is particularly useful in control systems and signal processing, where understanding the long-term behavior of a system is crucial. The theorem is based on the Laplace transform and provides a direct method to calculate the final value without solving the system's differential equations.

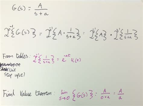
The Final Value Theorem states that if the Laplace transform of a function f(t) is F(s), then the final value of f(t) as t approaches infinity is given by:

f(∞) = lim (sF(s))

where the limit is taken as s approaches zero, provided that all poles of sF(s) are in the left half of the s-plane.

Applications of the Final Value Theorem

The Final Value Theorem has wide-ranging applications in various fields of engineering and mathematics. Some of the key areas where this theorem is applied include:

  • Control Systems: In control theory, the Final Value Theorem is used to determine the steady-state error of a system. This helps in designing controllers that minimize errors and ensure stable operation.
  • Signal Processing: In signal processing, the theorem is used to analyze the behavior of signals over time. It helps in understanding how a signal will behave in the long term, which is crucial for designing filters and other signal processing algorithms.
  • Electrical Engineering: In electrical engineering, the Final Value Theorem is used to analyze the transient and steady-state responses of circuits. This is particularly useful in the design of power systems, communication systems, and control systems.
  • Mechanical Engineering: In mechanical engineering, the theorem is used to analyze the dynamic behavior of mechanical systems. It helps in understanding how a system will respond to inputs over time, which is crucial for designing stable and efficient mechanical systems.

Steps to Apply the Final Value Theorem

Applying the Final Value Theorem involves several steps. Here is a detailed guide on how to use this theorem to find the steady-state value of a system's response:

  1. Determine the Laplace Transform: First, find the Laplace transform of the function f(t). This is denoted as F(s).
  2. Multiply by s: Multiply the Laplace transform F(s) by s to get sF(s).
  3. Take the Limit: Take the limit of sF(s) as s approaches zero. This limit gives the final value of f(t) as t approaches infinity.

It is important to ensure that all poles of sF(s) are in the left half of the s-plane for the theorem to be valid. If there are poles on the imaginary axis or in the right half-plane, the theorem may not provide accurate results.

🔍 Note: The Final Value Theorem is only applicable if the system is stable and all poles of sF(s) are in the left half of the s-plane.

Examples of the Final Value Theorem

To illustrate the application of the Final Value Theorem, let's consider a few examples:

Example 1: Simple RC Circuit

Consider a simple RC circuit with a step input. The differential equation governing the circuit is:

RC dV/dt + V = V_in

Taking the Laplace transform of both sides, we get:

RC(sV(s) - V(0)) + V(s) = V_in/s

Assuming initial conditions are zero, we have:

V(s) = V_in / (s + 1/RC)

To find the final value of V(t), we apply the Final Value Theorem:

V(∞) = lim (sV(s)) = lim (s * V_in / (s + 1/RC)) = V_in

Thus, the final value of the voltage V(t) is V_in.

Example 2: Second-Order System

Consider a second-order system with the transfer function:

H(s) = ω_n^2 / (s^2 + 2ζω_ns + ω_n^2)

To find the final value of the output y(t) for a unit step input, we use the Final Value Theorem:

y(∞) = lim (sY(s)) = lim (s * ω_n^2 / (s^2 + 2ζω_ns + ω_n^2)) = 1

Thus, the final value of the output y(t) is 1.

Limitations of the Final Value Theorem

While the Final Value Theorem is a powerful tool, it has certain limitations that must be considered:

  • Stability Requirement: The theorem is only valid for stable systems where all poles of sF(s) are in the left half of the s-plane.
  • Poles on the Imaginary Axis: If there are poles on the imaginary axis, the theorem may not provide accurate results.
  • Poles in the Right Half-Plane: If there are poles in the right half-plane, the system is unstable, and the theorem is not applicable.

It is crucial to ensure that the system meets these stability criteria before applying the Final Value Theorem.

🔍 Note: Always verify the stability of the system before using the Final Value Theorem to avoid inaccurate results.

Advanced Applications of the Final Value Theorem

The Final Value Theorem can be extended to more complex systems and scenarios. Some advanced applications include:

Frequency Response Analysis

In frequency response analysis, the Final Value Theorem can be used to determine the steady-state response of a system to sinusoidal inputs. This is particularly useful in control systems and signal processing, where understanding the system's response to different frequencies is crucial.

Nonlinear Systems

While the Final Value Theorem is primarily used for linear systems, it can be extended to nonlinear systems using linearization techniques. This involves approximating the nonlinear system with a linear model around an operating point and then applying the theorem to the linearized model.

Time-Delay Systems

In time-delay systems, the Final Value Theorem can be used to analyze the effect of delays on the system's steady-state response. This is important in control systems where delays can significantly impact the system's performance.

Conclusion

The Final Value Theorem is a valuable tool in control theory and engineering, providing a straightforward method to determine the steady-state value of a system’s response. By leveraging the Laplace transform, this theorem simplifies the analysis of complex systems and helps in designing stable and efficient control systems. Understanding the applications, limitations, and advanced uses of the Final Value Theorem is crucial for engineers and mathematicians working in various fields. Whether analyzing control systems, signal processing, or mechanical systems, the Final Value Theorem offers a powerful approach to understanding the long-term behavior of dynamic systems.

Related Terms:

  • final value theorem z transform
  • final value theorem calculator
  • final value theorem transfer functions
  • final value theorem laplace
  • initial value theorem and final
  • laplace transform final value theorem
Facebook Twitter WhatsApp
Related Posts
Don't Miss