Learning

Exponential Probability Distribution Pdf

Exponential Probability Distribution Pdf
Exponential Probability Distribution Pdf

Understanding the Exponential Probability Distribution Pdf is crucial for anyone working in fields that involve random processes, such as reliability engineering, queuing theory, and survival analysis. This distribution is particularly useful for modeling the time between events in a Poisson process, where events occur continuously and independently at a constant average rate.

What is the Exponential Probability Distribution?

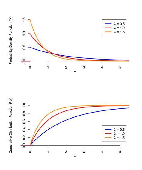
The exponential probability distribution is a type of continuous probability distribution that describes the time between events in a Poisson process. It is characterized by a single parameter, often denoted as λ (lambda), which represents the rate at which events occur. The probability density function (pdf) of the exponential distribution is given by:

📝 Note: The pdf of the exponential distribution is defined as f(x; λ) = λe^(-λx) for x ≥ 0, where λ > 0.

Key Properties of the Exponential Distribution

The exponential distribution has several key properties that make it unique and useful in various applications:

  • Memorylessness: The exponential distribution is memoryless, meaning that the probability of an event occurring in the future does not depend on how much time has already passed. This property is crucial in many real-world scenarios, such as the time between customer arrivals in a queue.
  • Constant Rate: The rate at which events occur is constant over time. This means that the distribution is suitable for modeling processes where the occurrence of events does not change over time.
  • Single Parameter: The exponential distribution is defined by a single parameter, λ, which makes it simple to work with compared to other distributions that may have multiple parameters.

Exponential Probability Distribution Pdf

The Exponential Probability Distribution Pdf is a fundamental concept in understanding how the distribution behaves. The pdf provides the probability density for any given value of x, which represents the time between events. The formula for the pdf is:

📝 Note: The cumulative distribution function (CDF) of the exponential distribution is given by F(x; λ) = 1 - e^(-λx) for x ≥ 0.

The pdf of the exponential distribution is characterized by a single parameter, λ, which determines the shape of the distribution. As λ increases, the distribution becomes more concentrated around smaller values of x, indicating that events occur more frequently. Conversely, as λ decreases, the distribution spreads out, indicating that events occur less frequently.

Applications of the Exponential Distribution

The exponential distribution has a wide range of applications in various fields. Some of the most common applications include:

  • Reliability Engineering: The exponential distribution is used to model the time to failure of components in systems. This is particularly useful in industries such as aerospace, automotive, and electronics, where reliability is critical.
  • Queuing Theory: In queuing theory, the exponential distribution is used to model the arrival times of customers in a queue. This helps in designing efficient queuing systems, such as call centers and service desks.
  • Survival Analysis: The exponential distribution is used to model the time to an event of interest, such as death or relapse in medical studies. This is crucial in fields such as epidemiology and clinical research.

Calculating the Exponential Probability Distribution Pdf

To calculate the Exponential Probability Distribution Pdf, you need to know the value of the parameter λ and the value of x for which you want to find the probability density. The steps to calculate the pdf are as follows:

  1. Identify the value of λ, which represents the rate at which events occur.
  2. Identify the value of x, which represents the time between events.
  3. Use the formula for the pdf: f(x; λ) = λe^(-λx).

For example, if λ = 2 and x = 1, the pdf would be calculated as follows:

📝 Note: f(1; 2) = 2e^(-2*1) = 2e^(-2) ≈ 0.2707.

Visualizing the Exponential Distribution

Visualizing the exponential distribution can help in understanding its behavior and properties. The pdf of the exponential distribution can be plotted using various software tools, such as Python, R, or MATLAB. Below is an example of how to plot the pdf using Python:

📝 Note: The following code snippet demonstrates how to plot the pdf of the exponential distribution using Python and the matplotlib library.

Here is the code:


import numpy as np
import matplotlib.pyplot as plt
from scipy.stats import expon

# Define the parameter lambda
lambda_ = 2

# Generate x values
x = np.linspace(0, 5, 500)

# Calculate the pdf
pdf = expon.pdf(x, scale=1/lambda_)

# Plot the pdf
plt.plot(x, pdf, label=f'λ = {lambda_}')
plt.xlabel('x')
plt.ylabel('Probability Density')
plt.title('Exponential Probability Distribution Pdf')
plt.legend()
plt.grid(True)
plt.show()

This code will generate a plot of the pdf of the exponential distribution with λ = 2. The plot will show how the probability density changes as x increases, providing a visual representation of the distribution.

Comparing the Exponential Distribution with Other Distributions

The exponential distribution is often compared with other continuous distributions, such as the normal and gamma distributions. Understanding the differences and similarities between these distributions can help in choosing the appropriate model for a given problem.

Distribution Parameters Shape Applications
Exponential λ (rate) Right-skewed Time between events, reliability engineering
Normal μ (mean), σ (standard deviation) Bell-shaped Measurement errors, natural phenomena
Gamma α (shape), β (rate) Right-skewed Waiting times, reliability analysis

The exponential distribution is particularly useful when the time between events is of interest, and the events occur at a constant rate. In contrast, the normal distribution is more suitable for modeling symmetric data with a central tendency, while the gamma distribution is useful for modeling waiting times and reliability analysis.

Conclusion

The Exponential Probability Distribution Pdf is a fundamental concept in probability theory and statistics, with wide-ranging applications in various fields. Understanding the properties, calculations, and visualizations of the exponential distribution can help in modeling real-world phenomena more accurately. Whether you are working in reliability engineering, queuing theory, or survival analysis, the exponential distribution provides a powerful tool for analyzing and predicting the behavior of random processes. By mastering the concepts and techniques related to the exponential distribution, you can gain valuable insights into the underlying mechanisms of complex systems and make informed decisions based on data.

Related Terms:

  • how to calculate exponential distribution
  • negative exponential distribution
  • what is a exponential distribution
  • exponential probability distribution examples
  • exponential distribution chart
  • exponential probability distribution function
Facebook Twitter WhatsApp
Related Posts
Don't Miss