Learning

Differentiating E Functions

Differentiating E Functions
Differentiating E Functions

In the realm of mathematics, particularly in the field of calculus, the concept of differentiating functions is fundamental. Differentiating functions involves finding the derivative of a function, which represents the rate at which the function is changing at any given point. This process is crucial for understanding the behavior of functions, optimizing processes, and solving a wide range of problems in physics, engineering, economics, and other disciplines. This blog post will delve into the intricacies of differentiating functions, exploring various techniques and applications.

Understanding Differentiation

Differentiation is the process of finding the derivative of a function. The derivative of a function at a specific point measures the sensitivity to change of the function value (output value) with respect to a change in its argument (input value). In simpler terms, it tells us how a function’s output changes in response to a change in its input.

Mathematically, if we have a function f(x), the derivative of f(x) is denoted by f'(x) or df/dx. The derivative is calculated using the limit definition:

f'(x) = lim_(h→0) [f(x+h) - f(x)] / h

This definition helps us understand that differentiation is essentially about finding the slope of the tangent line to the curve at a given point.

Basic Rules of Differentiation

To differentiate functions effectively, it’s essential to understand some basic rules. These rules simplify the process of finding derivatives for various types of functions.

  • Constant Rule: The derivative of a constant function is zero. If f(x) = c, where c is a constant, then f'(x) = 0.
  • Power Rule: The derivative of x^n is nx^(n-1). This rule is particularly useful for polynomial functions.
  • Constant Multiple Rule: The derivative of a constant times a function is the constant times the derivative of the function. If f(x) = c cdot g(x), then f'(x) = c cdot g'(x).
  • Sum and Difference Rule: The derivative of the sum or difference of two functions is the sum or difference of their derivatives. If f(x) = g(x) + h(x), then f'(x) = g'(x) + h'(x). Similarly, if f(x) = g(x) - h(x), then f'(x) = g'(x) - h'(x).
  • Product Rule: The derivative of the product of two functions is given by f'(x) = g(x)h'(x) + g'(x)h(x). This rule is crucial for differentiating functions that are products of other functions.
  • Quotient Rule: The derivative of the quotient of two functions is given by f'(x) = [g(x)h'(x) - g'(x)h(x)] / [h(x)]^2. This rule is essential for differentiating functions that are ratios of other functions.
  • Chain Rule: The derivative of a composite function is given by f'(x) = g'(u) cdot u'(x), where u = g(x). This rule is vital for differentiating functions of functions.

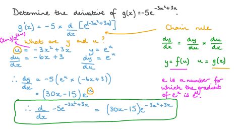
Differentiating E Functions

One of the most important functions in mathematics is the exponential function, often denoted as e^x, where e is the base of the natural logarithm (approximately equal to 2.71828). Differentiating E functions is straightforward due to a simple rule:

The derivative of e^x is e^x. This means that the rate of change of the exponential function is the function itself.

This property makes the exponential function unique and highly useful in various applications, including growth models, interest calculations, and differential equations.

Let's look at some examples of differentiating E functions:

  • f(x) = e^x: The derivative is f'(x) = e^x.
  • f(x) = e^(2x): Using the chain rule, the derivative is f'(x) = 2e^(2x).
  • f(x) = e^(-x): The derivative is f'(x) = -e^(-x).
  • f(x) = xe^x: Using the product rule, the derivative is f'(x) = e^x + xe^x.

Applications of Differentiation

Differentiation has numerous applications across various fields. Here are some key areas where differentiating functions is crucial:

  • Physics: Differentiation is used to describe the motion of objects, calculate velocities and accelerations, and understand the behavior of physical systems.
  • Engineering: In engineering, differentiation is used to optimize designs, analyze structures, and solve problems related to rates of change.
  • Economics: Differentiation helps in understanding marginal costs, revenues, and profits, which are essential for making economic decisions.
  • Biology: In biology, differentiation is used to model population growth, understand the spread of diseases, and analyze biological processes.
  • Computer Science: Differentiation is used in machine learning algorithms, optimization problems, and the development of algorithms for data analysis.

Advanced Techniques in Differentiation

Beyond the basic rules, there are advanced techniques for differentiating functions that involve more complex expressions. These techniques are essential for solving higher-level problems in mathematics and other fields.

Implicit Differentiation

Implicit differentiation is used when the function is not explicitly defined as y = f(x). Instead, the function is given in the form F(x, y) = 0. To find the derivative dy/dx, we differentiate both sides of the equation with respect to x, treating y as a function of x.

For example, consider the equation x^2 + y^2 = 1. Differentiating both sides with respect to x gives:

2x + 2y cdot dy/dx = 0

Solving for dy/dx, we get:

dy/dx = -x/y

Logarithmic Differentiation

Logarithmic differentiation is used when the function is a product or quotient of several functions, making it difficult to apply the product or quotient rules directly. By taking the natural logarithm of both sides, we can simplify the differentiation process.

For example, consider the function f(x) = x^2 cdot e^x cdot ln(x). Taking the natural logarithm of both sides, we get:

ln(f(x)) = ln(x^2) + ln(e^x) + ln(ln(x))

Differentiating both sides with respect to x, we get:

f'(x)/f(x) = 2/x + 1 + 1/x

Multiplying both sides by f(x), we get:

f'(x) = f(x) cdot (2/x + 1 + 1/x)

Substituting f(x) back into the equation, we get:

f'(x) = x^2 cdot e^x cdot ln(x) cdot (2/x + 1 + 1/x)

Partial Differentiation

Partial differentiation is used when dealing with functions of multiple variables. The partial derivative of a function with respect to one variable is found by treating the other variables as constants.

For example, consider the function f(x, y) = x^2y + xy^2. The partial derivative with respect to x is:

partial f/partial x = 2xy + y^2

The partial derivative with respect to y is:

partial f/partial y = x^2 + 2xy

Partial differentiation is crucial in fields like physics, economics, and engineering, where functions often depend on multiple variables.

Differentiation in Practice

To illustrate the practical application of differentiation, let’s consider a real-world example. Suppose we want to find the maximum volume of a rectangular box with a fixed surface area. Let the dimensions of the box be x, y, and z, and let the surface area be S. The volume V of the box is given by:

V = xyz

The surface area S is given by:

S = 2(xy + yz + zx)

We want to maximize the volume V subject to the constraint that the surface area is fixed. To do this, we can use the method of Lagrange multipliers, which involves differentiating the volume function with respect to the dimensions and the Lagrange multiplier.

First, we express the surface area constraint as:

S - 2(xy + yz + zx) = 0

Next, we define the Lagrangian function L as:

L(x, y, z, λ) = xyz + λ(S - 2(xy + yz + zx))

Differentiating L with respect to x, y, z, and λ, we get the following system of equations:

∂L/∂x = yz - 2λ(y + z) = 0

∂L/∂y = xz - 2λ(x + z) = 0

∂L/∂z = xy - 2λ(x + y) = 0

∂L/∂λ = S - 2(xy + yz + zx) = 0

Solving this system of equations, we find the values of x, y, and z that maximize the volume V.

This example demonstrates how differentiation can be used to solve optimization problems in practical scenarios.

📝 Note: The method of Lagrange multipliers is a powerful technique for solving constrained optimization problems. It involves differentiating the objective function and the constraint functions with respect to the variables and the Lagrange multiplier.

Differentiation Tables

To facilitate the process of differentiating functions, it’s helpful to have a reference table of common derivatives. Below is a table of derivatives for various types of functions:

Function Derivative
x^n nx^(n-1)
e^x e^x
a^x (where a is a constant) a^x ln(a)
ln(x) 1/x
log_a(x) (where a is a constant) 1/(x ln(a))
sin(x) cos(x)
cos(x) -sin(x)
tan(x) sec^2(x)
arcsin(x) 1/√(1-x^2)
arccos(x) -1/√(1-x^2)
arctan(x) 1/(1+x^2)

This table provides a quick reference for the derivatives of common functions, making it easier to differentiate more complex expressions.

📝 Note: Memorizing these derivatives can save time and effort when solving problems involving differentiation. However, it's also important to understand the underlying rules and techniques.

Differentiation is a fundamental concept in calculus that has wide-ranging applications in various fields. By understanding the basic rules and advanced techniques of differentiating functions, we can solve complex problems and gain insights into the behavior of functions. Whether it's finding the rate of change, optimizing processes, or modeling real-world phenomena, differentiation is an essential tool in the mathematician's toolkit.

In this blog post, we explored the concept of differentiating functions, focusing on the basic rules, differentiating E functions, and advanced techniques such as implicit differentiation, logarithmic differentiation, and partial differentiation. We also discussed the practical applications of differentiation and provided a reference table of common derivatives.

By mastering the art of differentiating functions, we can unlock a world of possibilities in mathematics and beyond. Whether you’re a student, a researcher, or a professional, understanding differentiation is crucial for success in your field.

Related Terms:

  • differentiation of e x 2
  • differentiation of e power x
  • differentiation rules with e
  • differentiation of e 3x
  • differentiation of e power x y
  • differentiation of e formula
Facebook Twitter WhatsApp
Related Posts
Don't Miss