Learning

Derivative Of E 5X

Derivative Of E 5X
Derivative Of E 5X

Understanding the derivative of exponential functions is a fundamental concept in calculus. One of the most commonly encountered exponential functions is e5x, where e is the base of the natural logarithm. The derivative of e5x is not only important for solving problems in calculus but also has wide-ranging applications in fields such as physics, engineering, and economics. This post will delve into the process of finding the derivative of e5x, explore its applications, and provide a comprehensive understanding of its significance.

Understanding Exponential Functions

Exponential functions are of the form f(x) = ax, where a is a constant and x is a variable. The most common base for exponential functions is e, approximately equal to 2.71828. The function ex is known as the natural exponential function and is widely used in mathematics and science due to its unique properties.

When dealing with the derivative of exponential functions, it is essential to understand the chain rule. The chain rule states that the derivative of a composite function is the derivative of the outer function evaluated at the inner function, multiplied by the derivative of the inner function. This rule is crucial for finding the derivative of e5x.

Finding the Derivative of e5x

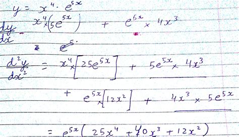
To find the derivative of e5x, we apply the chain rule. Let u = 5x. Then, e5x can be written as eu. The derivative of eu with respect to u is eu. Now, we need to find the derivative of u with respect to x, which is 5.

Using the chain rule, the derivative of e5x is:

eu * 5 = 5e5x

Therefore, the derivative of e5x is 5e5x.

📝 Note: The derivative of ex is ex, and this property holds for any exponential function of the form ekx, where k is a constant. The derivative in this case is kekx.

Applications of the Derivative of e5x

The derivative of e5x has numerous applications in various fields. Here are a few key areas where this derivative is particularly useful:

  • Physics: In physics, exponential functions are used to model phenomena such as radioactive decay, population growth, and heat transfer. The derivative of e5x helps in understanding the rate of change of these phenomena.
  • Engineering: In engineering, exponential functions are used in circuit analysis, signal processing, and control systems. The derivative of e5x is essential for analyzing the behavior of these systems over time.
  • Economics: In economics, exponential functions are used to model economic growth, interest rates, and inflation. The derivative of e5x helps in understanding the rate of change of these economic indicators.

Examples and Calculations

Let’s go through a few examples to illustrate the use of the derivative of e5x.

Example 1: Finding the Rate of Change

Suppose we have a function f(x) = e5x and we want to find the rate of change at x = 1. We already know that the derivative of f(x) is 5e5x. Substituting x = 1 into the derivative, we get:

5e5(1) = 5e5

Therefore, the rate of change of f(x) at x = 1 is 5e5.

Example 2: Solving a Differential Equation

Consider the differential equation dy/dx = 5e5x. To solve this, we integrate both sides with respect to x:

∫dy = ∫5e5x dx

The left side integrates to y, and the right side integrates to e5x:

y = e5x + C

where C is the constant of integration.

📝 Note: When solving differential equations, always check the initial conditions to determine the constant of integration.

Important Properties of Exponential Functions

Exponential functions have several important properties that make them useful in various applications. Some of these properties include:

  • Growth and Decay: Exponential functions can model both growth and decay. For example, e5x represents exponential growth, while e-5x represents exponential decay.
  • Derivative and Integral: The derivative of ekx is kekx, and the integral of ekx is (1/k)ekx + C, where k is a constant.
  • Asymptotic Behavior: As x approaches infinity, e5x approaches infinity, and as x approaches negative infinity, e5x approaches zero.

Comparing e5x with Other Exponential Functions

It is often useful to compare e5x with other exponential functions to understand their behavior and applications. Here is a comparison table:

Function Derivative Application
ex ex Natural growth and decay
e2x 2e2x Faster growth or decay
e5x 5e5x Very rapid growth or decay
e-3x -3e-3x Exponential decay

As seen in the table, the derivative of e5x is 5e5x, which indicates a very rapid rate of change compared to other exponential functions.

📝 Note: The choice of the base e in exponential functions is crucial because it simplifies many mathematical operations and has unique properties that make it ideal for modeling natural phenomena.

Visualizing the Derivative of e5x

Visualizing the derivative of e5x can help in understanding its behavior. Below is an image that shows the graph of e5x and its derivative 5e5x.

Graph of e^5x and its derivative

The graph illustrates how the derivative 5e5x increases rapidly as x increases, reflecting the exponential growth of the original function e5x.

Understanding the derivative of e5x is not only about mathematical calculations but also about applying this knowledge to real-world problems. Whether in physics, engineering, or economics, the derivative of e5x provides valuable insights into the rate of change of various phenomena.

In summary, the derivative of e5x is 5e5x, and it plays a crucial role in various fields. By understanding the properties and applications of this derivative, one can gain a deeper appreciation for the power of exponential functions in modeling and analyzing natural and engineered systems. The derivative of e5x is a fundamental concept that bridges theoretical mathematics with practical applications, making it an essential tool for students and professionals alike.

Related Terms:

  • proof derivative of e x
  • derivative rule for e x
  • why e x derivative is
  • e x derivative formula
  • derivative calculator with steps
  • derivative calculator of e
Facebook Twitter WhatsApp
Related Posts
Don't Miss