Learning

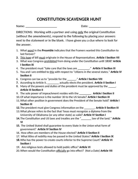
Constitution Scavenger Hunt

Constitution Scavenger Hunt
Constitution Scavenger Hunt

Engaging students in the study of the Constitution can be both fun and educational. One effective method to achieve this is through a Constitution Scavenger Hunt. This activity not only makes learning about the Constitution more enjoyable but also helps students understand the document's significance and its role in shaping the United States. By participating in a scavenger hunt, students can explore the Constitution in a hands-on way, fostering a deeper appreciation for the foundational principles of their country.

What is a Constitution Scavenger Hunt?

A Constitution Scavenger Hunt is an interactive educational activity designed to help students learn about the U.S. Constitution. This activity involves students searching for specific information within the Constitution, such as key phrases, historical references, and fundamental principles. The goal is to make the learning process more engaging and memorable, encouraging students to delve deeper into the text and understand its relevance to their lives.

Benefits of a Constitution Scavenger Hunt

Incorporating a Constitution Scavenger Hunt into the curriculum offers several benefits:

  • Enhanced Engagement: Students are more likely to stay engaged when learning is presented as a game or an interactive activity.
  • Deeper Understanding: By actively searching for information, students develop a deeper understanding of the Constitution’s content and its historical context.
  • Critical Thinking: The activity encourages students to think critically and analyze the text, fostering skills that are essential for academic success.
  • Collaboration: When done in groups, a Constitution Scavenger Hunt promotes teamwork and collaboration, as students work together to find answers.
  • Retention: Interactive learning methods have been shown to improve retention rates, making the information more likely to stick with students over time.

How to Create a Constitution Scavenger Hunt

Creating a Constitution Scavenger Hunt involves several steps. Here’s a detailed guide to help you get started:

Step 1: Define the Objectives

Before creating the scavenger hunt, define the objectives. What do you want students to learn? Are you focusing on specific amendments, historical events, or fundamental principles? Clearly outlining the objectives will help you design a more effective activity.

Step 2: Choose the Format

Decide on the format of the scavenger hunt. Will it be a traditional paper-based hunt, a digital hunt using tablets or computers, or a combination of both? Each format has its advantages, so choose the one that best fits your classroom needs and resources.

Step 3: Create the Questions

Develop a list of questions that align with your objectives. Make sure the questions are clear and specific. Here are some examples of questions you might include:

  • What are the first ten amendments to the Constitution called?
  • In what year was the Constitution ratified?
  • What are the three branches of government as outlined in the Constitution?
  • What is the purpose of the Bill of Rights?
  • How many articles are in the original Constitution?

Step 4: Provide Resources

Ensure students have access to the necessary resources. This could include copies of the Constitution, textbooks, or online resources. Make sure the resources are age-appropriate and relevant to the questions.

Step 5: Set the Rules

Establish clear rules for the scavenger hunt. For example, you might set a time limit, specify whether students can work in groups or individually, and define how points will be awarded. Clear rules help ensure a fair and enjoyable experience for all participants.

Step 6: Conduct the Scavenger Hunt

Once everything is prepared, conduct the Constitution Scavenger Hunt. Monitor the activity to ensure students are on task and provide assistance as needed. Encourage students to ask questions and discuss their findings with their peers.

Step 7: Review and Discuss

After the scavenger hunt, review the answers with the class. Discuss the significance of the information found and how it relates to the Constitution’s role in governance. This step is crucial for reinforcing learning and ensuring students understand the material.

📝 Note: Adapt the difficulty level of the questions based on the students' age and knowledge level. For younger students, focus on basic facts and principles, while older students can delve into more complex topics.

Sample Constitution Scavenger Hunt Questions

Here is a sample list of questions you can use for a Constitution Scavenger Hunt. These questions cover a range of topics and can be adjusted based on the students’ grade level and prior knowledge.

Question Answer
What is the preamble of the Constitution? The introductory statement that outlines the purposes and guiding principles of the Constitution.
How many amendments are there to the Constitution? There are 27 amendments to the Constitution.
What is the purpose of the First Amendment? The First Amendment protects freedom of speech, religion, press, assembly, and petition.
What are the qualifications for becoming a U.S. Senator? A U.S. Senator must be at least 30 years old, a U.S. citizen for at least 9 years, and a resident of the state they represent.
What is the role of the Supreme Court? The Supreme Court interprets the Constitution and reviews laws and actions of the executive and legislative branches.

Tips for a Successful Constitution Scavenger Hunt

To ensure a successful Constitution Scavenger Hunt, consider the following tips:

  • Prepare in Advance: Gather all necessary materials and resources before the activity. This includes copies of the Constitution, answer keys, and any additional reading materials.
  • Set Clear Expectations: Clearly communicate the rules and objectives of the scavenger hunt. Ensure students understand what is expected of them and how they will be evaluated.
  • Encourage Teamwork: If students are working in groups, encourage collaboration and communication. This can enhance the learning experience and foster a sense of camaraderie.
  • Provide Feedback: After the activity, provide feedback on students’ performance. Highlight their strengths and areas for improvement, and discuss how they can apply what they’ve learned in future studies.
  • Make it Fun: Incorporate elements of fun and competition to keep students engaged. Consider offering small prizes or recognition for top performers.

📝 Note: Be mindful of students' learning styles and abilities. Provide accommodations as needed to ensure all students can participate and succeed in the activity.

Adapting the Scavenger Hunt for Different Grade Levels

A Constitution Scavenger Hunt can be adapted for different grade levels to meet the specific needs and abilities of students. Here are some suggestions for adapting the activity:

Elementary School

For younger students, focus on basic facts and principles. Use simple language and visual aids to help them understand the material. Questions might include:

  • What is the Constitution?
  • Who wrote the Constitution?
  • What are the three branches of government?

Middle School

Middle school students can handle more complex questions and concepts. Introduce them to the Bill of Rights and discuss the significance of key amendments. Questions might include:

  • What is the purpose of the Bill of Rights?
  • What does the Second Amendment say?
  • How does the Constitution protect individual rights?

High School

High school students can delve into more advanced topics, such as the interpretation of the Constitution and its role in contemporary society. Questions might include:

  • How has the Constitution been amended over time?
  • What is the role of the Supreme Court in interpreting the Constitution?
  • How does the Constitution address issues of federalism and states’ rights?

📝 Note: Tailor the difficulty level and content of the questions to match the students' grade level and prior knowledge. This will ensure the activity is both challenging and accessible.

Incorporating Technology into the Scavenger Hunt

Technology can enhance the Constitution Scavenger Hunt by making it more interactive and engaging. Here are some ways to incorporate technology into the activity:

Digital Resources

Use digital resources, such as online versions of the Constitution, interactive timelines, and educational videos. These resources can provide additional context and visual aids to help students understand the material.

Tablets and Computers

Provide students with tablets or computers to search for information. This can make the activity more dynamic and allow students to access a wider range of resources. Ensure the devices are equipped with necessary software and apps to support the activity.

Interactive Apps

Use interactive apps that allow students to explore the Constitution in a hands-on way. These apps can include quizzes, games, and virtual tours of historical sites related to the Constitution.

Virtual Field Trips

Organize virtual field trips to historical sites, such as the National Archives, where the original Constitution is housed. This can provide students with a unique perspective on the document’s history and significance.

📝 Note: Ensure all technology used is age-appropriate and aligned with the activity's objectives. Provide clear instructions on how to use the technology and offer support as needed.

Assessing Student Learning

Assessing student learning is an essential part of any educational activity. Here are some methods to evaluate students’ understanding of the Constitution through the scavenger hunt:

Quiz or Test

Administer a quiz or test after the scavenger hunt to assess students’ knowledge of the material. Include questions that cover the key concepts and principles discussed during the activity.

Reflective Writing

Ask students to write a reflective essay on what they learned during the scavenger hunt. This can help you gauge their understanding and identify areas where they may need further instruction.

Group Presentations

Have students present their findings to the class. This can be done in groups or individually. Encourage students to discuss the significance of the information they found and how it relates to the Constitution’s role in governance.

Peer Evaluation

Incorporate peer evaluation by having students assess each other’s work. This can foster a sense of collaboration and help students learn from one another. Provide clear criteria for evaluation and encourage constructive feedback.

📝 Note: Use a variety of assessment methods to get a comprehensive understanding of students' learning. This can help you identify strengths and areas for improvement and tailor future instruction accordingly.

Final Thoughts

A Constitution Scavenger Hunt is a valuable tool for engaging students in the study of the U.S. Constitution. By making the learning process interactive and fun, students are more likely to retain the information and develop a deeper appreciation for the document’s significance. Whether conducted in a traditional classroom setting or enhanced with technology, a scavenger hunt can be adapted to meet the needs of students at various grade levels. By incorporating clear objectives, well-designed questions, and effective assessment methods, educators can create a meaningful and memorable learning experience for their students.

Related Terms:

  • constitution hunt quizlet
  • Related searches constitution hunt flashcards
Facebook Twitter WhatsApp
Related Posts
Don't Miss