Learning

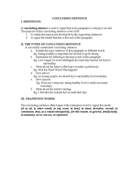
Concluding Sentence Definition

Concluding Sentence Definition
Concluding Sentence Definition

Understanding the structure and importance of sentences is fundamental to effective communication. One crucial aspect of sentence structure is the concluding sentence. A concluding sentence serves as the final thought in a paragraph or a piece of writing, wrapping up the ideas presented and providing a sense of closure. This blog post delves into the Concluding Sentence Definition, its significance, and how to craft effective concluding sentences.

What is a Concluding Sentence?

A concluding sentence is the last sentence in a paragraph or a piece of writing that summarizes the main points and provides a final thought or perspective. It serves as a bridge between the body of the text and the reader’s understanding, ensuring that the key ideas are reinforced and the message is clear. The concluding sentence is essential for maintaining coherence and flow in writing.

Importance of a Concluding Sentence

The concluding sentence plays a pivotal role in various aspects of writing. Here are some key reasons why it is important:

  • Summarizes Key Points: It reinforces the main ideas discussed in the paragraph or section, ensuring that the reader remembers the essential information.
  • Provides Closure: It offers a sense of completion, making the writing feel more polished and coherent.
  • Enhances Readability: A well-crafted concluding sentence helps the reader transition smoothly to the next paragraph or section.
  • Strengthens Argumentation: In persuasive writing, a concluding sentence can emphasize the main argument, making it more compelling.

Characteristics of an Effective Concluding Sentence

An effective concluding sentence should possess several key characteristics to fulfill its purpose. These include:

  • Clarity: It should be clear and concise, avoiding ambiguity.
  • Relevance: It should directly relate to the main points discussed in the paragraph.
  • Coherence: It should flow naturally from the preceding sentences.
  • Impact: It should leave a lasting impression on the reader.

Types of Concluding Sentences

There are several types of concluding sentences, each serving a different purpose. Understanding these types can help you choose the right one for your writing:

  • Summary Sentence: This type summarizes the main points discussed in the paragraph.
  • Restatement Sentence: It restates the main idea in different words to reinforce it.
  • Predictive Sentence: This type predicts future actions or outcomes based on the information provided.
  • Reflective Sentence: It encourages the reader to reflect on the information presented.
  • Call to Action Sentence: This type prompts the reader to take a specific action.

Crafting Effective Concluding Sentences

Crafting effective concluding sentences requires practice and attention to detail. Here are some steps to help you create compelling concluding sentences:

  • Review the Main Points: Identify the key ideas discussed in the paragraph.
  • Choose the Right Type: Decide on the type of concluding sentence that best fits your purpose.
  • Write a Draft: Create a draft of the concluding sentence, ensuring it is clear and concise.
  • Revise and Edit: Refine the sentence for clarity, coherence, and impact.

📝 Note: Avoid using filler words or phrases that do not add value to the concluding sentence. Keep it straightforward and to the point.

Examples of Concluding Sentences

To better understand the concept of a concluding sentence, let’s look at some examples:

Paragraph Concluding Sentence
Global warming is a pressing issue that affects various aspects of our environment. Rising temperatures lead to melting glaciers, which in turn cause sea levels to rise. This poses a significant threat to coastal communities and ecosystems. Therefore, it is crucial for governments and individuals to take immediate action to mitigate the effects of global warming.
Reading is an essential skill that opens doors to knowledge and imagination. It enhances vocabulary, improves cognitive abilities, and provides a means of relaxation and entertainment. Regular reading can also foster empathy and understanding of different perspectives. In conclusion, incorporating reading into daily routines can have profound benefits for personal growth and development.
Technology has revolutionized the way we communicate and access information. Smartphones, tablets, and computers have made it possible to connect with people from all over the world instantly. Social media platforms have also transformed how we share and consume news and entertainment. As technology continues to evolve, it will undoubtedly shape the future of communication and information sharing.

Common Mistakes to Avoid

When crafting concluding sentences, it is essential to avoid common mistakes that can weaken their effectiveness. Some of these mistakes include:

  • Introducing New Ideas: Avoid introducing new information in the concluding sentence. It should only summarize or reinforce the points already discussed.
  • Being Vague: Ensure the concluding sentence is specific and clear. Vague statements can confuse the reader.
  • Overcomplicating: Keep the concluding sentence simple and straightforward. Complex sentences can be difficult to understand.
  • Lack of Connection: Make sure the concluding sentence flows naturally from the preceding sentences. It should not feel disconnected or out of place.

📝 Note: Always read your concluding sentence aloud to ensure it sounds natural and coherent.

Conclusion

Understanding the Concluding Sentence Definition and its importance is crucial for effective writing. A well-crafted concluding sentence summarizes key points, provides closure, enhances readability, and strengthens argumentation. By following the steps and characteristics outlined in this post, you can create compelling concluding sentences that leave a lasting impression on your readers. Whether you are writing an essay, a report, or a blog post, mastering the art of crafting effective concluding sentences will significantly improve the quality of your writing.

Related Terms:

  • good concluding sentences examples
  • concluding meaning
  • what does concluding sentence mean
  • example of concluding statement
  • what does concluding statement mean
  • examples of a conclusion sentence
Facebook Twitter WhatsApp
Related Posts
Don't Miss