Learning

Circle Of Mohr

Circle Of Mohr
Circle Of Mohr

Understanding the Circle of Mohr is crucial for engineers and scientists working in the fields of materials science, geotechnical engineering, and structural analysis. The Circle of Mohr is a graphical representation used to determine the stress state at a point within a material. It provides a visual tool for analyzing the stress components and their transformations, making it an invaluable asset in various engineering applications.

What is the Circle of Mohr?

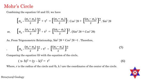
The Circle of Mohr is a graphical method developed by the German engineer Otto Mohr in the late 19th century. It is used to visualize the state of stress at a point in a material and to determine the principal stresses and the maximum shear stress. The circle is plotted on a graph where the x-axis represents the normal stress (σ) and the y-axis represents the shear stress (τ).

Components of the Circle of Mohr

The Circle of Mohr consists of several key components:

  • Center of the Circle: The center of the circle is located at the average of the normal stresses (σx and σy).
  • Radius of the Circle: The radius is equal to the maximum shear stress (τmax).
  • Principal Stresses: The points where the circle intersects the x-axis represent the principal stresses (σ1 and σ2).
  • Shear Stress: The points where the circle intersects the y-axis represent the maximum shear stress (τmax).

Constructing the Circle of Mohr

To construct the Circle of Mohr, follow these steps:

  1. Determine the normal stresses (σx and σy) and the shear stress (τxy) at the point of interest.
  2. Calculate the average normal stress (σavg) and the radius ® of the circle using the formulas:

σavg = (σx + σy) / 2

R = √[(σx - σy)/2)2 + τxy2]

  1. Plot the center of the circle at (σavg, 0) on the graph.
  2. Draw the circle with radius R.
  3. Identify the principal stresses (σ1 and σ2) at the points where the circle intersects the x-axis.
  4. Determine the maximum shear stress (τmax) at the points where the circle intersects the y-axis.

💡 Note: The Circle of Mohr can be constructed for any state of stress, including plane stress and plane strain conditions.

Applications of the Circle of Mohr

The Circle of Mohr has wide-ranging applications in various fields of engineering and materials science. Some of the key applications include:

  • Geotechnical Engineering: Used to analyze the stress state in soils and rocks, helping in the design of foundations, slopes, and tunnels.
  • Structural Analysis: Helps in determining the stress distribution in structures such as beams, columns, and plates.
  • Materials Science: Used to study the failure criteria of materials under different stress conditions.
  • Mechanical Engineering: Applied in the design and analysis of machine components subjected to complex stress states.

Interpreting the Circle of Mohr

Interpreting the Circle of Mohr involves understanding the stress components and their transformations. Here are some key points to consider:

  • Principal Stresses: The principal stresses (σ1 and σ2) are the maximum and minimum normal stresses acting on the material. They occur on planes where the shear stress is zero.
  • Maximum Shear Stress: The maximum shear stress (τmax) is the highest shear stress that the material experiences. It occurs on planes that are 45 degrees to the principal stress planes.
  • Stress Transformation: The Circle of Mohr can be used to transform stresses from one coordinate system to another. This is particularly useful in analyzing the stress state at different orientations within the material.

Example of Circle of Mohr Construction

Let’s consider an example to illustrate the construction of the Circle of Mohr. Suppose we have the following stress components at a point:

  • σx = 100 MPa
  • σy = 50 MPa
  • τxy = 30 MPa

Follow these steps to construct the Circle of Mohr:

  1. Calculate the average normal stress (σavg):

σavg = (100 + 50) / 2 = 75 MPa

  1. Calculate the radius ® of the circle:

R = √[(100 - 50)/2)2 + 302] = √[252 + 302] = √[625 + 900] = √1525 ≈ 39.05 MPa

  1. Plot the center of the circle at (75, 0) on the graph.
  2. Draw the circle with radius 39.05 MPa.
  3. Identify the principal stresses (σ1 and σ2) at the points where the circle intersects the x-axis.
  4. Determine the maximum shear stress (τmax) at the points where the circle intersects the y-axis.

💡 Note: The principal stresses can be calculated using the formulas σ1 = σavg + R and σ2 = σavg - R. The maximum shear stress is equal to the radius of the circle.

Advanced Topics in Circle of Mohr

For more advanced applications, the Circle of Mohr can be extended to three-dimensional stress states. In this case, the circle is replaced by a sphere, known as the Mohr’s Stress Sphere. This sphere provides a three-dimensional representation of the stress state, including the principal stresses and the maximum shear stress.

Another advanced topic is the use of the Circle of Mohr in failure criteria. Failure criteria such as the Mohr-Coulomb criterion and the Tresca criterion use the Circle of Mohr to determine the conditions under which a material will fail. These criteria are essential in designing structures and components that must withstand complex stress states.

Limitations of the Circle of Mohr

While the Circle of Mohr is a powerful tool, it has some limitations:

  • Two-Dimensional Stress State: The Circle of Mohr is primarily used for two-dimensional stress states. For three-dimensional stress states, the Mohr’s Stress Sphere is more appropriate.
  • Linear Elastic Materials: The Circle of Mohr assumes linear elastic behavior of the material. For materials that exhibit nonlinear behavior or plasticity, more advanced methods may be required.
  • Complex Stress States: In cases of complex stress states, the Circle of Mohr may become difficult to interpret. Numerical methods and finite element analysis may be more suitable for such cases.

💡 Note: Despite these limitations, the Circle of Mohr remains a valuable tool for many engineering applications due to its simplicity and visual clarity.

Conclusion

The Circle of Mohr is a fundamental tool in the analysis of stress states within materials. It provides a graphical representation that helps engineers and scientists understand the principal stresses, maximum shear stress, and stress transformations. By constructing and interpreting the Circle of Mohr, professionals can make informed decisions in the design and analysis of structures, components, and materials. Its applications span various fields, including geotechnical engineering, structural analysis, materials science, and mechanical engineering, making it an indispensable asset in the engineering toolkit.

Related Terms:

  • draw mohr circle online
  • mohr circle of stress
  • mohr circle equations
  • mohr's circle
  • mohr circle plotter
  • mohr circle generator
Facebook Twitter WhatsApp
Related Posts
Don't Miss