The study of American history is a vast and intricate journey through time, filled with pivotal events, influential figures, and transformative movements. For students and enthusiasts alike, having a comprehensive and engaging resource is essential. One such resource that has stood the test of time is the American Pageant 16th Edition. This textbook, authored by Thomas A. Bailey and David M. Kennedy, has been a staple in classrooms for decades, offering a detailed and accessible exploration of American history from its earliest beginnings to the present day.
The Evolution of American Pageant
The American Pageant series has undergone significant evolution since its inception. The 16th edition continues this tradition of excellence, incorporating the latest historical research and insights. The authors have meticulously updated the content to reflect recent developments and scholarly interpretations, ensuring that readers gain a contemporary understanding of American history.
One of the standout features of the American Pageant 16th Edition is its narrative style. The text is written in a engaging and conversational tone, making complex historical events and concepts accessible to a wide range of readers. This approach not only enhances comprehension but also fosters a deeper appreciation for the subject matter.
Key Features of the 16th Edition
The 16th edition of American Pageant includes several key features that set it apart from previous editions and other textbooks. These features are designed to enhance the learning experience and provide a more comprehensive understanding of American history.
- Updated Content: The text has been thoroughly updated to include the latest historical research and events, ensuring that readers have access to the most current information.
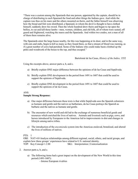
- Primary Source Documents: The inclusion of primary source documents allows readers to engage directly with historical texts, providing a firsthand perspective on significant events.
- Maps and Visuals: The textbook is richly illustrated with maps, photographs, and other visual aids that help to contextualize historical events and enhance understanding.
- Study Aids: Various study aids, such as chapter summaries, review questions, and timelines, are included to help students reinforce their learning and prepare for exams.
Chapter Highlights
The American Pageant 16th Edition is organized into chapters that cover key periods and themes in American history. Each chapter is meticulously crafted to provide a comprehensive overview of the subject matter, supported by detailed analysis and engaging narratives.
Some of the notable chapters include:
- Chapter 1: The Collision of Cultures: This chapter explores the early encounters between Native Americans and European explorers, setting the stage for the colonization of the Americas.
- Chapter 2: The Planting of English America: This chapter delves into the establishment of English colonies in North America, highlighting the challenges and successes of early settlers.
- Chapter 3: Settling the Northern Colonies: This chapter focuses on the development of the Northern colonies, including the religious and economic factors that shaped their growth.
- Chapter 4: The Southern Colonies: This chapter examines the unique characteristics of the Southern colonies, emphasizing the role of agriculture and slavery in their development.
- Chapter 5: The American Revolution: This chapter provides a detailed account of the American Revolution, from the causes of the conflict to the signing of the Declaration of Independence.
Each chapter is designed to be self-contained, allowing readers to delve into specific periods or themes of interest. However, the text is also structured to provide a seamless flow from one chapter to the next, creating a cohesive narrative of American history.
Primary Source Documents
One of the most valuable features of the American Pageant 16th Edition is the inclusion of primary source documents. These documents offer readers a unique opportunity to engage with historical texts firsthand, providing insights into the thoughts, emotions, and perspectives of people who lived through significant events.
Some of the primary source documents included in the textbook are:
- The Declaration of Independence
- The Constitution of the United States
- Letters and diaries from key historical figures
- Speeches and political documents
These documents are carefully selected to complement the narrative and provide a deeper understanding of the historical context. They are accompanied by introductory notes and questions for reflection, helping readers to analyze and interpret the texts effectively.
Maps and Visuals
The American Pageant 16th Edition is richly illustrated with maps, photographs, and other visual aids that enhance the learning experience. These visuals serve multiple purposes, including:
- Providing geographical context for historical events
- Illustrating key figures and moments in history
- Highlighting important themes and trends
For example, the chapter on the American Revolution includes maps that show the movement of troops and the key battle sites. These visuals help readers to understand the strategic aspects of the war and the geographical challenges faced by the colonists.
Similarly, photographs of historical figures and events bring the past to life, making it easier for readers to connect with the people and stories they are learning about.
Study Aids
The American Pageant 16th Edition includes a variety of study aids designed to help students reinforce their learning and prepare for exams. These aids are integrated into the text and provide valuable resources for both independent study and classroom use.
Some of the study aids included in the textbook are:
- Chapter Summaries: Each chapter concludes with a summary that highlights the key points and themes covered in the text.
- Review Questions: These questions are designed to test comprehension and encourage critical thinking about the material.
- Timelines: Timelines provide a visual overview of key events and dates, helping readers to understand the chronological flow of history.
- Glossaries: Glossaries define important terms and concepts, ensuring that readers have a clear understanding of the vocabulary used in the text.
These study aids are particularly useful for students who are preparing for exams or who want to deepen their understanding of specific topics. They provide a structured approach to reviewing the material and help to reinforce key concepts.
Comparative Analysis
To understand the significance of the American Pageant 16th Edition, it is helpful to compare it with other popular textbooks in the field. While there are many excellent resources available, the American Pageant stands out for several reasons.
Here is a comparative analysis of the American Pageant 16th Edition with other notable textbooks:
| Feature | American Pageant 16th Edition | Give Me Liberty! | The American Nation |
|---|---|---|---|
| Narrative Style | Engaging and conversational | Detailed and analytical | Comprehensive and academic |
| Primary Source Documents | Included and well-integrated | Limited inclusion | Some inclusion, but less emphasis |
| Visual Aids | Richly illustrated with maps and photographs | Moderate use of visuals | Comprehensive visuals, but less engaging |
| Study Aids | Comprehensive and well-integrated | Basic study aids | Detailed study aids, but less user-friendly |
As the table illustrates, the American Pageant 16th Edition excels in several areas, including its narrative style, inclusion of primary source documents, and use of visual aids. These features make it a valuable resource for both students and educators.
📚 Note: While other textbooks may offer different strengths, the American Pageant 16th Edition provides a well-rounded and engaging approach to learning American history.
Impact on Education
The American Pageant 16th Edition has had a significant impact on education, shaping the way American history is taught and understood. Its engaging narrative style and comprehensive content have made it a favorite among students and educators alike. The textbook's ability to make complex historical events accessible and engaging has contributed to a deeper appreciation for the subject matter.
Moreover, the inclusion of primary source documents and visual aids enhances the learning experience, providing a more immersive and interactive approach to studying history. These features help to bring the past to life, making it easier for readers to connect with the people and events they are learning about.
The American Pageant 16th Edition has also been praised for its pedagogical value. The study aids and review questions included in the textbook help students to reinforce their learning and prepare for exams. These resources are particularly useful for students who are studying independently or who need additional support in understanding the material.
Overall, the American Pageant 16th Edition has made a lasting impact on education, providing a comprehensive and engaging resource for learning American history.

Conclusion
The American Pageant 16th Edition stands as a testament to the enduring value of well-crafted educational resources. Its engaging narrative, comprehensive content, and innovative features make it an indispensable tool for students and educators alike. Whether you are a history enthusiast or a student preparing for exams, this textbook offers a rich and rewarding journey through American history. From the early encounters between Native Americans and European explorers to the present day, the American Pageant 16th Edition provides a detailed and accessible exploration of the events and figures that have shaped the nation. Its inclusion of primary source documents, visual aids, and study aids enhances the learning experience, making it a valuable resource for anyone seeking to deepen their understanding of American history.
Related Terms:
- american pageant 16th edition notes
- american pageant 16th edition online
- american pageant website
- american pageant 16th edition textbook
- the american pageant textbook pdf
- apush textbook 16th edition pdf