Learning

All Trig Derivatives

All Trig Derivatives
All Trig Derivatives

Calculus is a fundamental branch of mathematics that deals with rates of change and slopes of curves using concepts like derivatives and integrals. Among the various functions studied in calculus, trigonometric functions hold a special place due to their widespread applications in physics, engineering, and other scientific fields. Understanding the All Trig Derivatives is crucial for solving problems involving periodic phenomena, wave motion, and more. This post will delve into the derivatives of trigonometric functions, providing a comprehensive guide to their computation and applications.

Understanding Trigonometric Functions

Trigonometric functions are essential in calculus as they describe the relationship between the angles and sides of a right triangle. The primary trigonometric functions are sine (sin), cosine (cos), tangent (tan), cotangent (cot), secant (sec), and cosecant (csc). These functions are periodic and have specific properties that make them unique in calculus.

Derivatives of Basic Trig Functions

To understand the All Trig Derivatives, it’s important to start with the basic trigonometric functions. The derivatives of these functions are derived using the limit definition of a derivative. Here are the derivatives of the basic trigonometric functions:

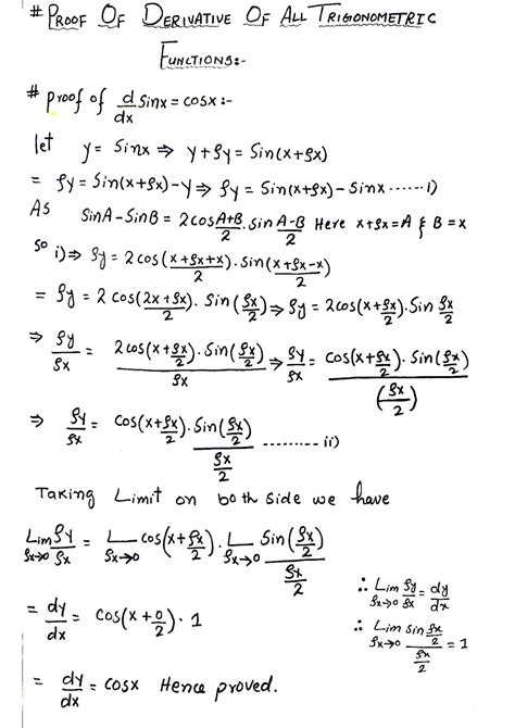
  • Sine Function (sin x): The derivative of sin(x) is cos(x).
  • Cosine Function (cos x): The derivative of cos(x) is -sin(x).
  • Tangent Function (tan x): The derivative of tan(x) is sec²(x).
  • Cotangent Function (cot x): The derivative of cot(x) is -csc²(x).
  • Secant Function (sec x): The derivative of sec(x) is sec(x)tan(x).
  • Cosecant Function (csc x): The derivative of csc(x) is -csc(x)cot(x).

These derivatives are fundamental and form the basis for more complex trigonometric derivatives.

Derivatives of Inverse Trig Functions

In addition to the basic trigonometric functions, the derivatives of their inverse functions are also important. The inverse trigonometric functions are arcsine (arcsin), arccosine (arccos), arctangent (arctan), arccotangent (arccot), arcsecant (arcsec), and arccosecant (arccsc). Here are their derivatives:

  • Arcsine Function (arcsin x): The derivative of arcsin(x) is 1/√(1-x²).
  • Arccosine Function (arccos x): The derivative of arccos(x) is -1/√(1-x²).
  • Arctangent Function (arctan x): The derivative of arctan(x) is 1/(1+x²).
  • Arccotangent Function (arccot x): The derivative of arccot(x) is -1/(1+x²).
  • Arcsecant Function (arcsec x): The derivative of arcsec(x) is 1/(x√(x²-1)).
  • Arccosecant Function (arccsc x): The derivative of arccsc(x) is -1/(x√(x²-1)).

These derivatives are essential for solving problems involving inverse trigonometric functions.

Applications of Trig Derivatives

The All Trig Derivatives have numerous applications in various fields. Here are some key areas where trigonometric derivatives are applied:

  • Physics: Trigonometric derivatives are used to describe the motion of waves, pendulums, and other periodic phenomena.
  • Engineering: In electrical engineering, trigonometric derivatives are used to analyze alternating currents and voltages.
  • Computer Graphics: Trigonometric functions and their derivatives are used in rendering and animation to create smooth and realistic movements.
  • Signal Processing: Trigonometric derivatives are used in the analysis and processing of signals, including Fourier transforms.

These applications highlight the importance of understanding and mastering the All Trig Derivatives.

Computing Trig Derivatives

To compute the derivatives of trigonometric functions, it’s essential to understand the basic rules of differentiation. Here are some steps and examples to illustrate the process:

Step-by-Step Guide

1. Identify the Function: Determine the trigonometric function you need to differentiate.

2. Apply the Derivative Rule: Use the appropriate derivative rule for the identified function.

3. Simplify the Expression: Simplify the resulting expression to get the final derivative.

For example, let's find the derivative of f(x) = sin(2x):

1. Identify the function: f(x) = sin(2x).

2. Apply the chain rule: The derivative of sin(u) is cos(u) * u'. Here, u = 2x, so u' = 2.

3. Simplify the expression: f'(x) = cos(2x) * 2 = 2cos(2x).

This process can be applied to other trigonometric functions as well.

💡 Note: Remember to use the chain rule when differentiating composite functions involving trigonometric functions.

Common Mistakes to Avoid

When computing the All Trig Derivatives, it’s easy to make mistakes. Here are some common errors to avoid:

  • Forgetting the Chain Rule: Always apply the chain rule when differentiating composite functions.
  • Incorrect Signs: Pay attention to the signs, especially when differentiating cosine and secant functions.
  • Incorrect Formulas: Ensure you use the correct derivative formulas for each trigonometric function.

By being mindful of these common mistakes, you can improve your accuracy in computing trigonometric derivatives.

Practice Problems

To reinforce your understanding of the All Trig Derivatives, here are some practice problems:

  • Find the derivative of f(x) = cos(3x).
  • Compute the derivative of g(x) = tan(4x).
  • Determine the derivative of h(x) = arccos(x).
  • Find the derivative of k(x) = sec(5x).

Solving these problems will help you gain confidence in differentiating trigonometric functions.

Here is a table summarizing the derivatives of basic trigonometric functions for quick reference:

Function Derivative
sin(x) cos(x)
cos(x) -sin(x)
tan(x) sec²(x)
cot(x) -csc²(x)
sec(x) sec(x)tan(x)
csc(x) -csc(x)cot(x)

This table provides a quick reference for the derivatives of basic trigonometric functions.

In conclusion, understanding the All Trig Derivatives is crucial for solving a wide range of problems in calculus and its applications. By mastering the derivatives of trigonometric functions, you can tackle complex problems in physics, engineering, and other scientific fields with confidence. The key is to practice regularly and apply the derivative rules accurately. With dedication and practice, you can become proficient in computing trigonometric derivatives and applying them to real-world problems.

Related Terms:

  • all trig derivatives and integrals
  • all trig identities
  • list of all trig derivatives
  • how to find trig derivatives
  • all trig function derivatives
  • derivative calculator
Facebook Twitter WhatsApp
Related Posts
Don't Miss