Learning

Aicpa Ethics Exam

Aicpa Ethics Exam
Aicpa Ethics Exam

Navigating the complexities of the accounting profession requires not only technical expertise but also a strong ethical foundation. The AICPA Ethics Exam is a critical component for aspiring Certified Public Accountants (CPAs), ensuring that they are well-versed in the ethical standards and principles that guide the profession. This exam is designed to test a candidate's understanding of the AICPA Code of Professional Conduct, which outlines the ethical responsibilities and obligations of CPAs. Passing the AICPA Ethics Exam is a mandatory requirement for obtaining a CPA license in many jurisdictions, underscoring its importance in the professional development of accountants.

Understanding the AICPA Ethics Exam

The AICPA Ethics Exam is a comprehensive assessment that covers a wide range of ethical topics relevant to the accounting profession. The exam is administered by the American Institute of Certified Public Accountants (AICPA) and is typically taken after candidates have completed the Uniform CPA Examination. The exam consists of multiple-choice questions and is designed to evaluate a candidate's knowledge of the AICPA Code of Professional Conduct, as well as their ability to apply ethical principles to real-world scenarios.

Key Components of the AICPA Ethics Exam

The AICPA Ethics Exam is structured to cover several key areas of ethical conduct. These areas include:

  • Independence: Understanding the importance of maintaining independence in providing audit and other attestation services.
  • Integrity: Upholding the principles of honesty and transparency in all professional activities.
  • Objectivity: Ensuring that professional judgments are not compromised by biases, conflicts of interest, or undue influences.
  • Confidentiality: Protecting the confidentiality of client information and maintaining the trust placed in CPAs by their clients.
  • Professional Behavior: Adhering to the standards of conduct that reflect positively on the accounting profession.

Each of these components is essential for maintaining the integrity and reputation of the accounting profession. The AICPA Ethics Exam ensures that CPAs are well-prepared to handle ethical dilemmas and make decisions that align with the highest standards of professional conduct.

Preparing for the AICPA Ethics Exam

Preparing for the AICPA Ethics Exam requires a systematic approach. Candidates should focus on understanding the AICPA Code of Professional Conduct and practicing with sample questions. Here are some steps to help candidates prepare effectively:

  • Study the AICPA Code of Professional Conduct: Familiarize yourself with the code, paying particular attention to the sections on independence, integrity, objectivity, confidentiality, and professional behavior.
  • Use Study Materials: Utilize study guides, textbooks, and online resources that provide comprehensive coverage of the exam topics.
  • Practice with Sample Questions: Take practice exams to get a feel for the format and types of questions that will be on the actual exam.
  • Join Study Groups: Collaborate with peers to discuss difficult concepts and share study strategies.
  • Seek Guidance from Mentors: Consult with experienced CPAs who can provide insights and advice based on their own experiences.

By following these steps, candidates can build a strong foundation of knowledge and confidence to tackle the AICPA Ethics Exam successfully.

📚 Note: It is important to allocate sufficient time for preparation, as the exam covers a broad range of ethical topics and requires a deep understanding of the AICPA Code of Professional Conduct.

Exam Format and Scoring

The AICPA Ethics Exam is a computer-based test consisting of 40 multiple-choice questions. Candidates have four hours to complete the exam, which is administered at Prometric testing centers. The exam is scored on a pass/fail basis, and candidates receive their results within a few weeks of taking the exam.

The exam is designed to assess a candidate's knowledge of the AICPA Code of Professional Conduct and their ability to apply ethical principles to various scenarios. The questions are structured to test both theoretical knowledge and practical application, ensuring that candidates are well-prepared to handle ethical challenges in their professional careers.

Importance of Passing the AICPA Ethics Exam

Passing the AICPA Ethics Exam is a crucial milestone for aspiring CPAs. It demonstrates a candidate's commitment to ethical conduct and their readiness to uphold the standards of the accounting profession. Here are some reasons why passing the exam is important:

  • Professional Credibility: Passing the exam enhances a candidate's credibility and reputation in the accounting community.
  • Career Advancement: Many employers require candidates to pass the AICPA Ethics Exam as a condition of employment or promotion.
  • Client Trust: Clients are more likely to trust CPAs who have demonstrated their commitment to ethical conduct.
  • Legal Compliance: Passing the exam ensures that CPAs are compliant with the ethical standards required by regulatory bodies.

In summary, passing the AICPA Ethics Exam is essential for building a successful and ethical career in accounting.

Common Challenges and How to Overcome Them

Preparing for the AICPA Ethics Exam can present several challenges. Here are some common obstacles and strategies to overcome them:

  • Complex Ethical Scenarios: Ethical dilemmas can be complex and nuanced. To overcome this challenge, practice with a variety of scenarios and seek guidance from mentors.
  • Time Management: The exam has a time limit, so it is important to manage your time effectively. Practice with timed exams to improve your speed and accuracy.
  • Memorization of Rules: The exam requires a thorough understanding of the AICPA Code of Professional Conduct. Use mnemonics and other memory techniques to help retain key information.
  • Test Anxiety: Feeling nervous before the exam is normal. Practice relaxation techniques and maintain a positive mindset to manage test anxiety.

By addressing these challenges proactively, candidates can enhance their preparation and increase their chances of success on the AICPA Ethics Exam.

📝 Note: It is beneficial to take practice exams under timed conditions to simulate the actual exam environment and improve time management skills.

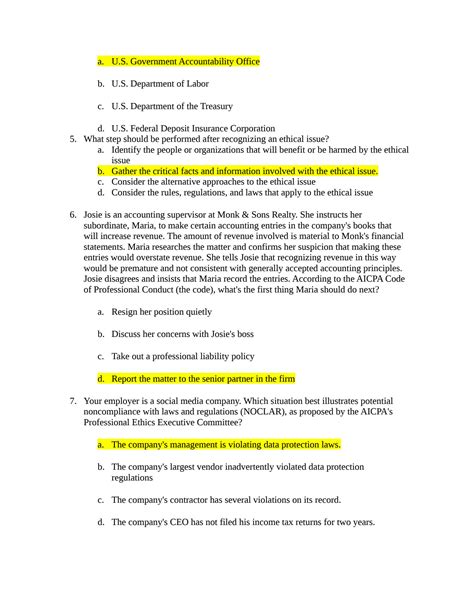
Ethical Decision-Making Framework

Understanding the ethical decision-making framework is crucial for passing the AICPA Ethics Exam. This framework helps candidates analyze ethical dilemmas and make informed decisions. The framework typically involves the following steps:

  • Identify the Ethical Issue: Recognize the ethical dilemma or conflict of interest.
  • Gather Relevant Information: Collect all pertinent facts and data related to the situation.
  • Identify Stakeholders: Determine who will be affected by the decision.
  • Evaluate Options: Consider the potential consequences of each course of action.
  • Make a Decision: Choose the option that aligns with ethical principles and professional standards.
  • Implement the Decision: Take action based on the decision made.
  • Review and Reflect: Evaluate the outcome and reflect on the decision-making process.

By following this framework, candidates can approach ethical dilemmas systematically and make decisions that uphold the highest standards of professional conduct.

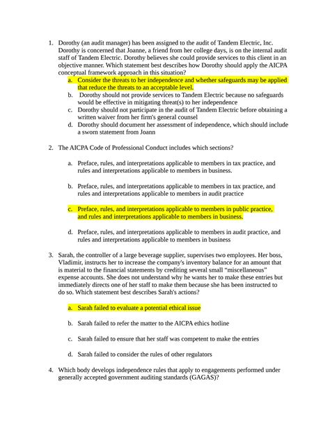
Real-World Application of Ethical Principles

The AICPA Ethics Exam is not just about theoretical knowledge; it also tests a candidate's ability to apply ethical principles to real-world scenarios. Here are some examples of how ethical principles can be applied in practice:

  • Conflict of Interest: A CPA may face a conflict of interest when providing services to multiple clients with competing interests. The CPA must disclose the conflict and obtain informed consent from all parties involved.
  • Confidentiality: A CPA must protect client information and ensure that it is not disclosed without proper authorization. This includes safeguarding sensitive data and maintaining confidentiality in communications.
  • Independence: A CPA must maintain independence in providing audit and attestation services. This means avoiding any relationships or activities that could compromise objectivity or impartiality.
  • Professional Behavior: A CPA must adhere to the standards of conduct that reflect positively on the profession. This includes acting with integrity, honesty, and professionalism in all interactions.

By understanding how to apply these principles in real-world situations, candidates can demonstrate their readiness to handle ethical challenges in their professional careers.

Resources for Further Learning

In addition to study materials and practice exams, there are several resources available to help candidates prepare for the AICPA Ethics Exam. These resources include:

  • Online Courses: Enroll in online courses that provide comprehensive coverage of the exam topics and offer interactive learning experiences.
  • Study Groups: Join study groups to collaborate with peers and share study strategies.
  • Mentorship Programs: Participate in mentorship programs to receive guidance from experienced CPAs.
  • Professional Development Workshops: Attend workshops and seminars that focus on ethical decision-making and professional conduct.

These resources can enhance a candidate's preparation and provide valuable insights into the ethical standards and principles of the accounting profession.

📚 Note: Utilizing a variety of resources can help candidates gain a well-rounded understanding of the exam topics and improve their chances of success.

Case Studies and Practical Examples

To better understand the application of ethical principles, it is helpful to review case studies and practical examples. Here are some scenarios that illustrate the importance of ethical decision-making:

Scenario Ethical Principle Decision-Making Process
A CPA is asked to provide a favorable audit opinion for a client who has not complied with accounting standards. Independence and Integrity The CPA must refuse to issue a favorable opinion and report the non-compliance to the appropriate authorities.
A CPA discovers that a client has engaged in fraudulent activities. Confidentiality and Professional Behavior The CPA must report the fraud to the relevant authorities while maintaining the confidentiality of the client's information.
A CPA is offered a financial incentive to overlook certain accounting irregularities. Objectivity and Integrity The CPA must decline the incentive and report the irregularities to the appropriate authorities.

These case studies highlight the importance of ethical decision-making and the need for CPAs to uphold the highest standards of professional conduct.

In conclusion, the AICPA Ethics Exam is a critical component of the CPA licensing process, ensuring that aspiring accountants are well-versed in the ethical standards and principles that guide the profession. By understanding the key components of the exam, preparing effectively, and applying ethical principles to real-world scenarios, candidates can successfully navigate the challenges of the AICPA Ethics Exam and build a strong foundation for their professional careers. The exam not only tests theoretical knowledge but also evaluates a candidate’s ability to make ethical decisions in complex situations, ensuring that they are ready to uphold the integrity and reputation of the accounting profession.

Related Terms:

  • aicpa comprehensive ethics exam
  • aicpa ethics exam sample questions
  • aicpa ethics exam questions
  • aicpa ethics exam answers pdf
  • aicpa cpa ethics exam questions
  • aicpa code of ethics pdf
Facebook Twitter WhatsApp
Related Posts
Don't Miss