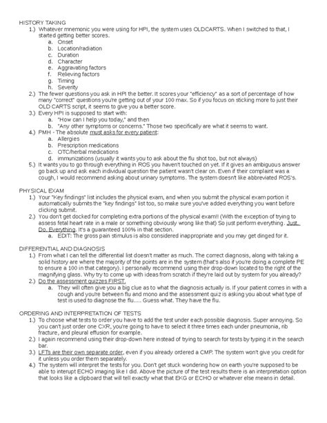
Learning

7 30 Pm

7 30 Pm
7 30 Pm

In the hustle and bustle of modern life, finding moments of tranquility can be a challenge. For many, the evening hours, particularly around 7:30 PM, offer a unique opportunity to unwind and recharge. This time of day is often a transitional period between the end of the workday and the beginning of personal time. Whether you're looking to relax, engage in a hobby, or spend quality time with loved ones, understanding how to make the most of this hour can significantly enhance your overall well-being.

Understanding the Significance of 7:30 PM

The period around 7:30 PM is crucial for several reasons. It marks the end of the typical workday for many professionals, providing a natural break from work-related stress. This time can be used to shift gears and prepare for the evening ahead. Additionally, it's a time when many families come together after a day apart, making it an ideal moment for bonding and connection.

The Benefits of a Structured Evening Routine

Establishing a structured evening routine can have numerous benefits. It helps to create a sense of order and predictability, which can reduce stress and anxiety. A well-planned routine can also improve sleep quality, as it signals to your body that it's time to wind down. Here are some key benefits of a structured evening routine:

  • Reduced stress and anxiety
  • Improved sleep quality
  • Enhanced productivity during the day
  • Better time management
  • Increased opportunities for self-care and personal growth

Creating a Relaxing Evening Routine

To make the most of 7:30 PM, consider creating a relaxing evening routine that includes activities you enjoy. Here are some steps to help you get started:

1. Reflect on Your Day

Take a few minutes to reflect on your day. This can be done through journaling, meditation, or simply taking a quiet moment to think. Reflecting on your day can help you process any lingering thoughts or emotions, allowing you to let go of stress and prepare for a restful evening.

2. Engage in a Hobby

Engaging in a hobby you enjoy can be a great way to unwind. Whether it's reading, painting, or playing an instrument, hobbies provide a creative outlet and can help you relax. If you don't have a hobby, consider trying something new. There are countless options available, from cooking classes to yoga sessions.

3. Spend Quality Time with Loved Ones

If you have family or friends at home, use this time to connect with them. Share a meal, watch a movie, or simply chat about your day. Quality time with loved ones can strengthen relationships and provide a sense of belonging and support.

4. Prepare for the Next Day

Taking a few minutes to prepare for the next day can help you feel more organized and less rushed in the morning. This might include laying out your clothes, packing your lunch, or reviewing your schedule. By getting a head start on the next day, you can reduce morning stress and start your day on a positive note.

5. Practice Self-Care

Self-care is essential for maintaining both physical and mental health. This can include activities like taking a warm bath, practicing yoga, or listening to calming music. Self-care activities should be tailored to your personal needs and preferences, so take the time to explore different options and find what works best for you.

Sample Evening Routine

Here is a sample evening routine that you can customize to fit your needs:

Time Activity
7:30 PM Reflect on your day through journaling or meditation
8:00 PM Engage in a hobby (e.g., reading, painting, playing an instrument)
8:30 PM Spend quality time with loved ones (e.g., share a meal, watch a movie)
9:30 PM Prepare for the next day (e.g., lay out clothes, pack lunch)
10:00 PM Practice self-care (e.g., take a warm bath, practice yoga)
10:30 PM Wind down with a calming activity (e.g., listen to music, read a book)
11:00 PM Go to bed

📝 Note: This is just a sample routine. Feel free to adjust the activities and timings to better suit your lifestyle and preferences.

The Role of Technology in Evening Routines

Technology can play a significant role in enhancing your evening routine. There are numerous apps and devices designed to help you relax, stay organized, and improve your overall well-being. Here are some ways technology can support your evening routine:

  • Meditation and mindfulness apps: Apps like Headspace and Calm offer guided meditations and mindfulness exercises that can help you relax and unwind.
  • Sleep tracking devices: Devices like the Fitbit or Apple Watch can track your sleep patterns and provide insights into your sleep quality.
  • Smart home devices: Smart home devices like Amazon Echo or Google Home can help you automate tasks, such as turning off lights or adjusting the thermostat, making your evening routine more efficient.
  • E-readers: E-readers like the Kindle can provide a distraction-free reading experience, making it easier to relax and unwind before bed.

Common Challenges and Solutions

While creating an evening routine can be beneficial, it's not always easy to stick to it. Here are some common challenges and solutions to help you overcome them:

1. Lack of Time

If you feel like you don't have enough time to establish a routine, start small. Even just a few minutes of relaxation or self-care can make a difference. Gradually build up your routine as you find more time.

2. Distractions

Distractions can make it difficult to focus on your routine. Try to create a distraction-free environment by turning off notifications on your phone or finding a quiet space to relax.

3. Inconsistency

Consistency is key when it comes to establishing a routine. If you find it hard to stick to your routine, try setting reminders or using a planner to keep track of your activities.

4. Lack of Motivation

If you're struggling with motivation, remind yourself of the benefits of a structured evening routine. You might also find it helpful to involve a friend or family member in your routine, as they can provide support and accountability.

📝 Note: Remember, it's okay to have off days. The important thing is to keep trying and not give up if you face setbacks.

The Impact of Evening Routines on Sleep Quality

One of the most significant benefits of a structured evening routine is improved sleep quality. By winding down and preparing for bed at a consistent time, you can signal to your body that it's time to sleep. This can help you fall asleep faster and enjoy deeper, more restful sleep. Here are some tips to enhance your sleep quality:

  • Create a relaxing bedtime routine: Include activities like reading, taking a warm bath, or listening to calming music.
  • Maintain a consistent sleep schedule: Go to bed and wake up at the same time every day, even on weekends.
  • Create a sleep-conducive environment: Ensure your bedroom is dark, quiet, and cool. Consider using earplugs, an eye mask, or a white noise machine if needed.
  • Avoid screens before bed: The blue light emitted by screens can interfere with your body's production of melatonin, a hormone that regulates sleep.
  • Limit caffeine and alcohol: Both substances can disrupt your sleep, so try to avoid them in the hours leading up to bedtime.

By incorporating these tips into your evening routine, you can significantly improve your sleep quality and overall well-being.

In conclusion, the period around 7:30 PM offers a unique opportunity to unwind, recharge, and prepare for the evening ahead. By establishing a structured evening routine, you can reduce stress, improve sleep quality, and enhance your overall well-being. Whether you choose to reflect on your day, engage in a hobby, spend quality time with loved ones, or practice self-care, the key is to find activities that bring you joy and relaxation. With consistency and dedication, you can create an evening routine that supports your physical and mental health, allowing you to make the most of this precious time.

Related Terms:

  • how long until 730pm
  • 7 30 pm est
  • 7 30 in the morning
  • how many hours until 730pm
  • 7 30 am
Facebook Twitter WhatsApp
Related Posts
Don't Miss