Learning

6 Yards In Feet

6 Yards In Feet
6 Yards In Feet

Understanding measurements is crucial in various fields, from construction and engineering to everyday tasks like gardening and home improvement. One common conversion that often arises is converting 6 yards in feet. This conversion is essential for accurate planning and execution in projects that require precise measurements. Let's delve into the details of this conversion and explore its applications.

Understanding Yards and Feet

Before we dive into the conversion, it's important to understand the basic units involved:

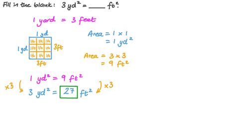
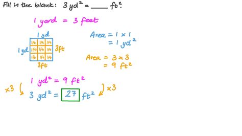
  • Yard: A yard is a unit of length in both the imperial and US customary systems of measurement. One yard is equal to 3 feet.
  • Foot: A foot is also a unit of length in the same systems. One foot is equal to 12 inches.

These units are fundamental in many measurement systems, and knowing how to convert between them is a valuable skill.

Converting 6 Yards to Feet

To convert 6 yards in feet, you need to multiply the number of yards by the conversion factor. Since 1 yard is equal to 3 feet, the calculation is straightforward:

6 yards * 3 feet/yard = 18 feet

Therefore, 6 yards in feet is 18 feet.

Applications of Yard to Foot Conversion

The conversion of yards to feet is widely used in various applications. Here are some common scenarios where this conversion is essential:

  • Construction: In construction projects, accurate measurements are crucial. Whether you're measuring the length of a wall, the width of a room, or the height of a building, converting between yards and feet ensures precision.
  • Landscaping: Gardeners and landscapers often need to convert measurements to plan and execute their designs. Knowing how to convert 6 yards in feet helps in determining the amount of soil, gravel, or mulch needed.
  • Sports: In sports like football, the field dimensions are often measured in yards. Converting these measurements to feet can help in understanding the exact distances and planning strategies.
  • Home Improvement: When undertaking DIY projects at home, such as laying flooring or installing fencing, accurate measurements are essential. Converting between yards and feet ensures that you purchase the right amount of materials.

Importance of Accurate Measurements

Accurate measurements are vital in many aspects of life and work. Whether you're a professional in a technical field or a hobbyist, understanding how to convert between different units of measurement can save time, money, and effort. Here are some reasons why accurate measurements matter:

  • Cost Efficiency: Accurate measurements help in purchasing the right amount of materials, avoiding waste and unnecessary expenses.
  • Time Management: Precise measurements ensure that projects are completed on time, reducing delays and rework.
  • Safety: In fields like construction and engineering, accurate measurements are crucial for safety. Incorrect measurements can lead to structural failures and accidents.
  • Quality Control: In manufacturing and production, accurate measurements ensure that products meet the required specifications and quality standards.

By understanding how to convert 6 yards in feet and other similar conversions, you can enhance your measurement skills and improve the outcomes of your projects.

Common Measurement Conversions

In addition to converting yards to feet, there are other common measurement conversions that are useful to know. Here are some of them:

Unit Conversion Factor Example
Yards to Inches 1 yard = 36 inches 6 yards = 216 inches
Feet to Inches 1 foot = 12 inches 18 feet = 216 inches
Miles to Yards 1 mile = 1,760 yards 1 mile = 5,280 feet
Meters to Feet 1 meter ≈ 3.28084 feet 10 meters ≈ 32.8084 feet

These conversions are essential in various fields and can help in understanding different measurement systems.

📝 Note: Always double-check your conversions to ensure accuracy, especially in critical projects.

Understanding these conversions can help you navigate different measurement systems and ensure accurate results in your projects.

In summary, converting 6 yards in feet is a fundamental skill that has wide-ranging applications. Whether you’re in construction, landscaping, sports, or home improvement, accurate measurements are crucial for success. By mastering this conversion and other related measurements, you can enhance your projects’ efficiency, cost-effectiveness, and overall quality. Accurate measurements are the foundation of many fields, and understanding how to convert between different units ensures that your projects are completed with precision and reliability.

Related Terms:

  • how far is 6 yards
  • how much is 6 yards
  • how long is six yards
  • how long is 6 yards
  • yards to feet calculator
  • 6.30 yards to feet
Facebook Twitter WhatsApp
Related Posts
Don't Miss