Learning

20 Gauge Steel Thickness

20 Gauge Steel Thickness
20 Gauge Steel Thickness

When it comes to construction and manufacturing, the choice of materials can significantly impact the durability, strength, and overall quality of the final product. One material that stands out for its versatility and robustness is 20 gauge steel. Understanding the 20 gauge steel thickness and its applications is crucial for anyone involved in metalworking, construction, or DIY projects. This post will delve into the specifics of 20 gauge steel, its thickness, and its various uses, providing a comprehensive guide for both professionals and enthusiasts.

Understanding Gauge Measurements

Before diving into the specifics of 20 gauge steel, it’s essential to understand how gauge measurements work. The gauge system is a standard way of measuring the thickness of sheet metal. The higher the gauge number, the thinner the metal. For example, 10 gauge steel is thicker than 20 gauge steel. This system is widely used in the metal industry to ensure consistency and accuracy in material selection.

What is 20 Gauge Steel Thickness?

20 gauge steel has a thickness of approximately 0.0359 inches or 0.912 millimeters. This thickness makes it a popular choice for various applications where a balance between strength and weight is required. The 20 gauge steel thickness is ideal for projects that need a sturdy yet lightweight material, making it versatile for different industries.

Applications of 20 Gauge Steel

20 gauge steel is used in a wide range of applications due to its favorable properties. Some of the most common uses include:

  • Construction: 20 gauge steel is often used in construction for roofing, siding, and framing. Its durability and resistance to corrosion make it a reliable choice for building materials.
  • Automotive: In the automotive industry, 20 gauge steel is used for body panels, frames, and other structural components. Its strength-to-weight ratio makes it ideal for enhancing vehicle safety and performance.
  • Manufacturing: 20 gauge steel is commonly used in manufacturing for creating machinery parts, enclosures, and other components that require a balance of strength and flexibility.
  • DIY Projects: For DIY enthusiasts, 20 gauge steel is a popular choice for various projects, including furniture, decorative items, and custom metalwork.

Advantages of 20 Gauge Steel

There are several advantages to using 20 gauge steel in various applications. Some of the key benefits include:

  • Durability: 20 gauge steel is known for its durability and resistance to wear and tear, making it a long-lasting material for various projects.
  • Strength: Despite its relatively thin profile, 20 gauge steel offers excellent strength, making it suitable for structural applications.
  • Corrosion Resistance: Many 20 gauge steel products are treated with coatings or alloys that enhance their resistance to corrosion, ensuring longevity in outdoor and harsh environments.
  • Versatility: The 20 gauge steel thickness makes it versatile for a wide range of applications, from construction to manufacturing and DIY projects.
  • Cost-Effective: Compared to thicker gauges, 20 gauge steel is more cost-effective, making it an economical choice for many projects.

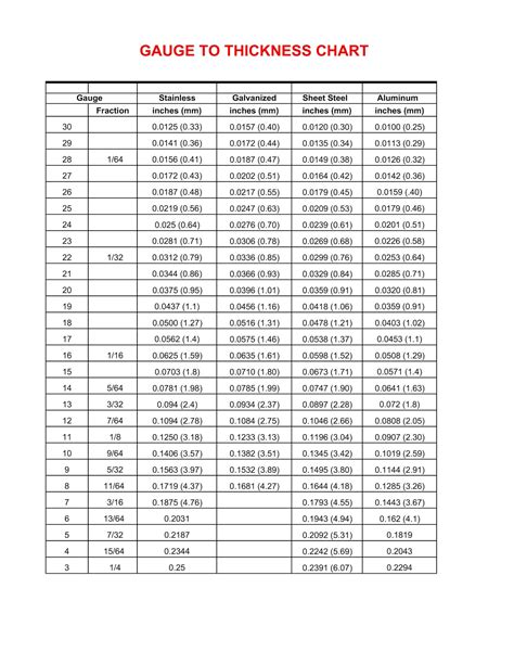
Comparing 20 Gauge Steel to Other Gauges

To better understand the 20 gauge steel thickness, it’s helpful to compare it to other common gauges. The following table provides a comparison of different steel gauges and their thicknesses:

Gauge Thickness (inches) Thickness (millimeters)
10 0.1345 3.416
12 0.1046 2.657
14 0.0747 1.897
16 0.0598 1.519
18 0.0478 1.214
20 0.0359 0.912
22 0.0299 0.759
24 0.0239 0.607

As shown in the table, 20 gauge steel is thinner than gauges 10 through 18 but thicker than gauges 22 and 24. This makes it a middle-ground option that offers a good balance of strength and weight.

Choosing the Right Steel Gauge for Your Project

Selecting the appropriate steel gauge for your project depends on several factors, including the required strength, weight, and intended use. Here are some guidelines to help you choose the right gauge:

  • Structural Applications: For structural components that require high strength, consider using a lower gauge number, such as 10 or 12 gauge steel.
  • General Construction: For general construction purposes, 14 or 16 gauge steel is often sufficient. However, for lighter applications, 20 gauge steel can be a cost-effective choice.
  • Automotive and Manufacturing: In the automotive and manufacturing industries, the choice of gauge depends on the specific requirements of the component. 20 gauge steel is commonly used for body panels and enclosures.
  • DIY Projects: For DIY projects, 20 gauge steel is a versatile option that offers a good balance of strength and weight. It is suitable for a wide range of applications, from furniture to decorative items.

🔍 Note: Always consider the specific requirements of your project, including load-bearing capacity, environmental conditions, and budget, when selecting the appropriate steel gauge.

Working with 20 Gauge Steel

Working with 20 gauge steel requires the right tools and techniques to ensure precision and safety. Here are some tips for working with 20 gauge steel:

  • Cutting: Use a plasma cutter or a metal shear for cutting 20 gauge steel. These tools provide clean and precise cuts, making them ideal for various projects.
  • Bending: For bending 20 gauge steel, use a brake press or a manual bender. These tools allow you to create precise bends and angles, ensuring the desired shape and fit.
  • Welding: When welding 20 gauge steel, use a MIG welder for best results. MIG welding provides a strong and durable bond, making it suitable for structural and manufacturing applications.
  • Finishing: After completing your project, consider applying a protective coating or paint to enhance the durability and appearance of the 20 gauge steel. This step helps prevent corrosion and extends the lifespan of the material.

Working with 20 gauge steel can be a rewarding experience, but it's essential to prioritize safety. Always wear appropriate protective gear, including gloves, safety glasses, and ear protection, when working with metal.

🛠️ Note: Ensure that your workspace is well-ventilated and free from clutter to minimize the risk of accidents and injuries.

When working with 20 gauge steel, it's crucial to follow best practices for cutting, bending, welding, and finishing to achieve the desired results. By using the right tools and techniques, you can create durable and high-quality projects that meet your specific needs.

In conclusion, 20 gauge steel is a versatile and robust material that offers numerous benefits for various applications. Its 20 gauge steel thickness makes it an ideal choice for construction, automotive, manufacturing, and DIY projects. By understanding the properties and applications of 20 gauge steel, you can make informed decisions and achieve successful outcomes in your projects. Whether you’re a professional or an enthusiast, 20 gauge steel provides the strength and durability needed for a wide range of metalworking tasks.

Related Terms:

  • 10 gauge steel thickness
  • 12 gauge steel thickness
  • 14 gauge steel thickness
  • 24 gauge steel thickness
  • 16 ga steel thickness
  • 16 gauge steel thickness
Facebook Twitter WhatsApp
Related Posts
Don't Miss